آخر تحديث :
18/03/2026
المضادة للسرطان المخدرات   Azacitidine  
حقن
الاستقرار في حلول استقرار مخاليط العوامل التي تؤثر على الاستقرار التوافق طريقة التعاطي مراجع pdf
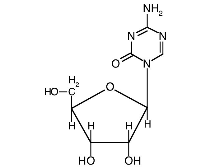
   التركيب الكيميائي  

حجز الاسم التجاري   حجز الاسم التجاري     

تحذير الأسماء التجاريه المختلفه قد تحتوي علي محتوي إضافات مختلفة حسب الدوله و المعمل

Amilix الأرجنتين
Arquimes الأرجنتين
Azacimyl تشيلي
Azacitidina الأرجنتين, بيرو, تشيلي
Azacitidine ألمانيا, الولايات المتحدة
Azacor بيرو
Azadin تركيا
Azamex الأرجنتين
Azanova الأرجنتين
Azateva الأرجنتين
Azida تركيا
Azitech الأرجنتين
Citofin الأرجنتين
Iclacitidina بيرو
Iterbil الأرجنتين
Maturus الأرجنتين
Mietozitidina الأرجنتين, بيرو
Nimodac الأرجنتين
Remitiva تشيلي
Tazadir الأرجنتين
Vidaza أستراليا, ألمانيا, أيسلندا, إسبانيا, إيطاليا, الأرجنتين, البرازيل, السويد, المكسيك, النرويج, الولايات المتحدة, اليابان, بريطانيا العظمي, بلجيكا, بيرو, تركيا, تشيلي, تونس, رومانيا, زيلاندا الجديدة, سلوفينيا, سويسرا, فرنسا, فنلندا, كرواتيا, كندا, كولومبيا, لوكسمبورغ, ماليزيا, هنغاريا
Zacidonel المكسيك
Zylatadina الأرجنتين
مراجع   حقن   مراجع : Azacitidine  
نوع منشور
414 مجلة Den Hartigh J, Brandenburg HCR, Vermeij P.
Stability of azacitidine in lactated Ringer’s injection frozen in polypropylene syringes.
Am J Hosp Pharm 1989 ; 46: 2500-2505.
1039 مجلة Cheung YW, Vishnuvajjala BR, Morris NL, Flora KP.
Stability of azacitidine in infusion fluids.
Am J Hosp Pharm 1984 ; 41: 1156-1159.
3204 مجلة Duriez A, Vigneron J.H, Zenier H.A, May I, Demoré B.M.
Stability of Azacitidine Suspensions.
Ann Pharmacotherapy 2011 ;45, 4:546.
3236 مختبر Azacitidine (Vidaza®) - Résumé des caractéristiques du produit
Celgene 2011
3246 الملصق Vieillard V, Appudurai O, Voytenko S, Astier A, Paul M.
Stabilité physico-chimique de la suspension d'azacitidine (25 mg/mL) conservée à 4°C.
SFPO Congress Mandelieu, France 2011
3351 مجلة Walker S.E, Charbonneau L.F, Law S, Earle C.
Stability of Azacitidine in Sterile Water for Injection.
Can J Hosp Pharm 2012 ; 65, 5: 352-359
3534 مجلة Legeron R, Xuereb F, Djabarouti S, Saux M.C, Breilh D.
Chemical stability of azacitidine suspensions for injection after cold-chain reconstitution of powder and storage
Am J Health-Syst Pharm 2013 ; 70:2137-2142
3816 الملصق Balouzet C, Chanat C, Jobard M, Brandely-Piat ML, Chast F.
Stabilité des poches d'azacitidine pour injection intraveineuse (1- 4 et 2,4 mg/mL) conservées à 4°C.
SFPO Congress, Nantes, France 2015
3818 مجلة Balouzet C, Chanat C, Jobard M, Brandely-Piat M-L, Chast F.
Stability of 25 mg/mL 5-azacitidine suspension kept in fridge after freezing.
Pharmaceutical Technology in Hospital Pharmacy 2017 ;2, 1:11-16.
4227 الملصق Tyono I, Law S, Charbonneau L.F, Walker S.E.
Stability of Azacitidine Solutions In Sterile Water for Injection.
Prof Practice Conference - Canadian Society of PH 2019
4628 مجلة Iudicello A, Genovese F, Strusi V, Dominici M, Ruozi B.
Development and Validation of a New Storage Procedure to Extend the In-Use Stability of Azacitidine in Pharmaceutical Formulations.
Pharmaceuticals 2021 ; 14, 943.
4697 مجلة Trambloy Q, Vigneron J, Clarot I, Blaise F, D’Huart E, Demoré B.
Physicochemical stability of azacitidine suspensions at 25 mg/mL in polypropylene syringes stored under different conditions of storage.
Pharmaceutical Technology in Hospital Pharmacy 2022 2022; 7(1): 20220003

  Mentions Légales