Siste oppdatering :
18/03/2026
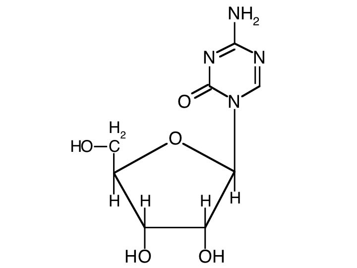
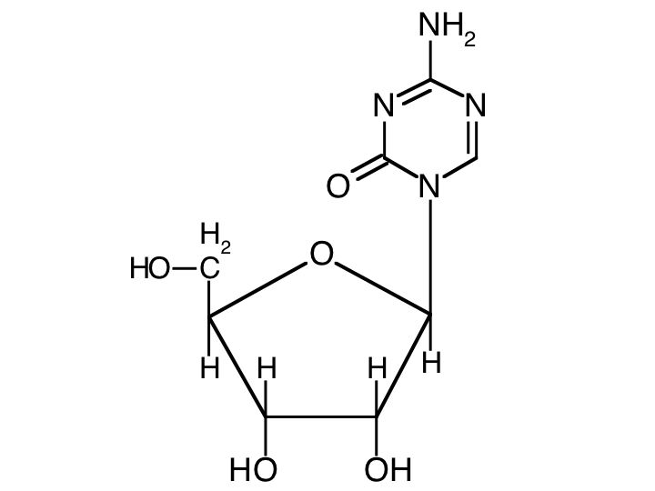
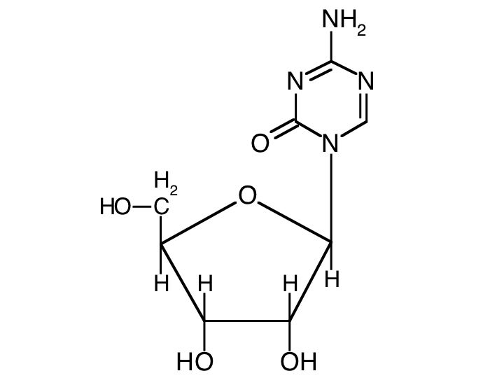
kreft narkotika   Azacitidine  
Injeksjon
Oppløsningsstabilitet Stabilitet i blandinger Faktorer som påvirker stabiliteten Kompatibilitet Administrasjonsmåte Referanser pdf
   Kjemisk struktur  

Handelsnavn   Handelsnavn     

Handelsnavn er veiledende og sammensetning av hjelpestoffer kan være forskjellig avhengig av land og produsent

Amilix Argentina
Arquimes Argentina
Azacimyl Chile
Azacitidina Argentina, Chile, Peru
Azacitidine Tyskland, USA
Azacor Peru
Azadin Tyrkia
Azamex Argentina
Azanova Argentina
Azateva Argentina
Azida Tyrkia
Azitech Argentina
Citofin Argentina
Iclacitidina Peru
Iterbil Argentina
Maturus Argentina
Mietozitidina Argentina, Peru
Nimodac Argentina
Remitiva Chile
Tazadir Argentina
Vidaza Argentina, Australia, Belgia, Brasil, Canada, Chile, Colombia, Finland, Frankrike, Island, Italia, Japan, Kroatia, Luxembourg, Malaysia, Mexico, New Zealand, Norge, Peru, Romania, Slovenia, Spania, Storbritannia, Sveits, Sverige, Tunisia, Tyrkia, Tyskland, Ungarn, USA
Zacidonel Mexico
Zylatadina Argentina
Referanser   Injeksjon   Referanser : Azacitidine  
Type publikasjon
414 Journal Den Hartigh J, Brandenburg HCR, Vermeij P.
Stability of azacitidine in lactated Ringer’s injection frozen in polypropylene syringes.
Am J Hosp Pharm 1989 ; 46: 2500-2505.
1039 Journal Cheung YW, Vishnuvajjala BR, Morris NL, Flora KP.
Stability of azacitidine in infusion fluids.
Am J Hosp Pharm 1984 ; 41: 1156-1159.
3204 Journal Duriez A, Vigneron J.H, Zenier H.A, May I, Demoré B.M.
Stability of Azacitidine Suspensions.
Ann Pharmacotherapy 2011 ;45, 4:546.
3236 Labratorium Azacitidine (Vidaza®) - Résumé des caractéristiques du produit
Celgene 2011
3246 plakat Vieillard V, Appudurai O, Voytenko S, Astier A, Paul M.
Stabilité physico-chimique de la suspension d'azacitidine (25 mg/mL) conservée à 4°C.
SFPO Congress Mandelieu, France 2011
3351 Journal Walker S.E, Charbonneau L.F, Law S, Earle C.
Stability of Azacitidine in Sterile Water for Injection.
Can J Hosp Pharm 2012 ; 65, 5: 352-359
3534 Journal Legeron R, Xuereb F, Djabarouti S, Saux M.C, Breilh D.
Chemical stability of azacitidine suspensions for injection after cold-chain reconstitution of powder and storage
Am J Health-Syst Pharm 2013 ; 70:2137-2142
3816 plakat Balouzet C, Chanat C, Jobard M, Brandely-Piat ML, Chast F.
Stabilité des poches d'azacitidine pour injection intraveineuse (1- 4 et 2,4 mg/mL) conservées à 4°C.
SFPO Congress, Nantes, France 2015
3818 Journal Balouzet C, Chanat C, Jobard M, Brandely-Piat M-L, Chast F.
Stability of 25 mg/mL 5-azacitidine suspension kept in fridge after freezing.
Pharmaceutical Technology in Hospital Pharmacy 2017 ;2, 1:11-16.
4227 plakat Tyono I, Law S, Charbonneau L.F, Walker S.E.
Stability of Azacitidine Solutions In Sterile Water for Injection.
Prof Practice Conference - Canadian Society of PH 2019
4628 Journal Iudicello A, Genovese F, Strusi V, Dominici M, Ruozi B.
Development and Validation of a New Storage Procedure to Extend the In-Use Stability of Azacitidine in Pharmaceutical Formulations.
Pharmaceuticals 2021 ; 14, 943.
4697 Journal Trambloy Q, Vigneron J, Clarot I, Blaise F, D’Huart E, Demoré B.
Physicochemical stability of azacitidine suspensions at 25 mg/mL in polypropylene syringes stored under different conditions of storage.
Pharmaceutical Technology in Hospital Pharmacy 2022 2022; 7(1): 20220003

  Mentions Légales