Pēdējā atjaunošana :
18/03/2026
vēzis narkotiku   Azacitidine  
Injekcija
Šķīduma stabilitāte Maisījuma stabilitāte Stabilitāti ietekmējoši faktori Saderība Levadīšanas veids Literatūras saraksts pdf
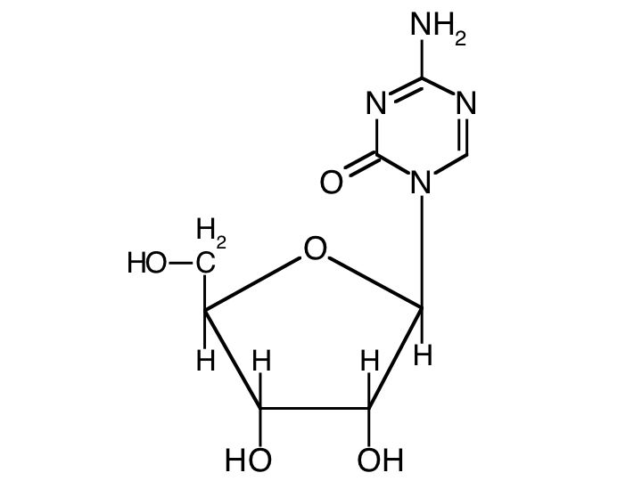
   Ķīmiskā uzbūve   

Oriģinālais nosaukums   Oriģinālais nosaukums     

Tirdzniecības nosaukumi ir apzīmējoši un palīgvielas var atšķirties dažādām valstīm un laboratorijām

Amilix Argentīna
Arquimes Argentīna
Azacimyl Čīle
Azacitidina Argentīna, Čīle, Peru
Azacitidine Amerikas Savienotās Valstis, Vācija
Azacor Peru
Azadin Turcija
Azamex Argentīna
Azanova Argentīna
Azateva Argentīna
Azida Turcija
Azitech Argentīna
Citofin Argentīna
Iclacitidina Peru
Iterbil Argentīna
Maturus Argentīna
Mietozitidina Argentīna, Peru
Nimodac Argentīna
Remitiva Čīle
Tazadir Argentīna
Vidaza Amerikas Savienotās Valstis, Argentīna, Austrālija, Beļģija, Brazīlija, Čīle, Francija, Horvātija, Islande, Itālija, Japāna, Jaunzēlande, Kanāda, Kolumbija, Lielbritānija, Luksemburga, Malaizija, Meksika, Norvēģija, Peru, Rumānija, Slovēnija, Somija, Spānija, Šveice, Tunisija, Turcija, Ungārija, Vācija, Zviedrija
Zacidonel Meksika
Zylatadina Argentīna
Literatūras saraksts   Injekcija   Literatūras saraksts : Azacitidine  
tips publicēšana
414 Žurnāls Den Hartigh J, Brandenburg HCR, Vermeij P.
Stability of azacitidine in lactated Ringer’s injection frozen in polypropylene syringes.
Am J Hosp Pharm 1989 ; 46: 2500-2505.
1039 Žurnāls Cheung YW, Vishnuvajjala BR, Morris NL, Flora KP.
Stability of azacitidine in infusion fluids.
Am J Hosp Pharm 1984 ; 41: 1156-1159.
3204 Žurnāls Duriez A, Vigneron J.H, Zenier H.A, May I, Demoré B.M.
Stability of Azacitidine Suspensions.
Ann Pharmacotherapy 2011 ;45, 4:546.
3236 Laboratorija Azacitidine (Vidaza®) - Résumé des caractéristiques du produit
Celgene 2011
3246 plakāts Vieillard V, Appudurai O, Voytenko S, Astier A, Paul M.
Stabilité physico-chimique de la suspension d'azacitidine (25 mg/mL) conservée à 4°C.
SFPO Congress Mandelieu, France 2011
3351 Žurnāls Walker S.E, Charbonneau L.F, Law S, Earle C.
Stability of Azacitidine in Sterile Water for Injection.
Can J Hosp Pharm 2012 ; 65, 5: 352-359
3534 Žurnāls Legeron R, Xuereb F, Djabarouti S, Saux M.C, Breilh D.
Chemical stability of azacitidine suspensions for injection after cold-chain reconstitution of powder and storage
Am J Health-Syst Pharm 2013 ; 70:2137-2142
3816 plakāts Balouzet C, Chanat C, Jobard M, Brandely-Piat ML, Chast F.
Stabilité des poches d'azacitidine pour injection intraveineuse (1- 4 et 2,4 mg/mL) conservées à 4°C.
SFPO Congress, Nantes, France 2015
3818 Žurnāls Balouzet C, Chanat C, Jobard M, Brandely-Piat M-L, Chast F.
Stability of 25 mg/mL 5-azacitidine suspension kept in fridge after freezing.
Pharmaceutical Technology in Hospital Pharmacy 2017 ;2, 1:11-16.
4227 plakāts Tyono I, Law S, Charbonneau L.F, Walker S.E.
Stability of Azacitidine Solutions In Sterile Water for Injection.
Prof Practice Conference - Canadian Society of PH 2019
4628 Žurnāls Iudicello A, Genovese F, Strusi V, Dominici M, Ruozi B.
Development and Validation of a New Storage Procedure to Extend the In-Use Stability of Azacitidine in Pharmaceutical Formulations.
Pharmaceuticals 2021 ; 14, 943.
4697 Žurnāls Trambloy Q, Vigneron J, Clarot I, Blaise F, D’Huart E, Demoré B.
Physicochemical stability of azacitidine suspensions at 25 mg/mL in polypropylene syringes stored under different conditions of storage.
Pharmaceutical Technology in Hospital Pharmacy 2022 2022; 7(1): 20220003

  Mentions Légales