Senaste uppdateringen :
18/03/2026
cancerläkemedel   Cyclophosphamide  
injektion
Kapsel Oral lösning
Lösningars stabilitet Stabilitet i blandningar Faktorer som påverkar stabiliteten Kompatibilitet Administreringssätt Hänvisningar pdf
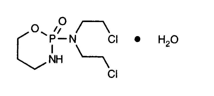
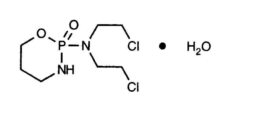
   Molekylstruktur  

Varunamn   Varunamn     

Angivna handelsnamn på läkemedel är enbart vägledande då formulering inklusive hjälpämnen kan variera mellan länder och tillverkare

Alkyloxan Egypten, Malaysia
Celomide Indien
Ciclofosfamida Argentina, Chile, Rumänien
Cicloxal Spanien
Cryofaxol Mexiko
Cycloblastin Australien
Cycloblastine Nederländerna
Cyclophosphamid Danmark, Tyskland
Cyclophosphamide Förenta Staterna, nya Zeeland, Saudi-Arabien, Storbritannien
Cyclostin Tyskland
Cycloxan Malaysia
Cycram Egypten
Cytoxan Förenta Staterna, Kanada, Ungern
Eldamide Indien
Endoxan Australien, Belgien, Chile, Colombia, Ecuador, Förenade Arabemiraten, Frankrike, Grekland, Indien, Iran, Italien, Kroatien, Luxemburg, Marocko, Nederländerna, nya Zeeland, Österrike, Polen, Portugal, Saudi-Arabien, Schweiz, Slovenien, Thailand, Tunisien, Turkiet, Tyskland, Ungern, Venezuela
Endoxana Irland, Storbritannien
Formitex Colombia, Mexiko
Genoxal Spanien
Genuxal Brasilien
Hidrofosmin Mexiko
Ledoxan Colombia
Ledoxina Colombia, Mexiko
Neophos Egypten
Neosar Förenta Staterna
Procytox Kanada
Sendoxan Danmark, Finland, Island, Norge, Sverige
Syklofosfamid Finland, Turkiet
Administreringssätt   Administreringssätt :Cyclophosphamide     
Voie
Intravenös
Intravenös infusion
Långtidsinfusion
Intramuskulär
Intraarteriell
Intrapleural
Intraperitoneal

  Mentions Légales