Zadnji put ažurirano :
18/03/2026
lijek protiv karcinoma   Cyclophosphamide  
injekcija
kapsula oralna otopina
Stabilizacija rješenja Stabilnost mješavine Stabilizacijski faktor Kompatibilnosti način davanja lijeka Bibliografija pdf
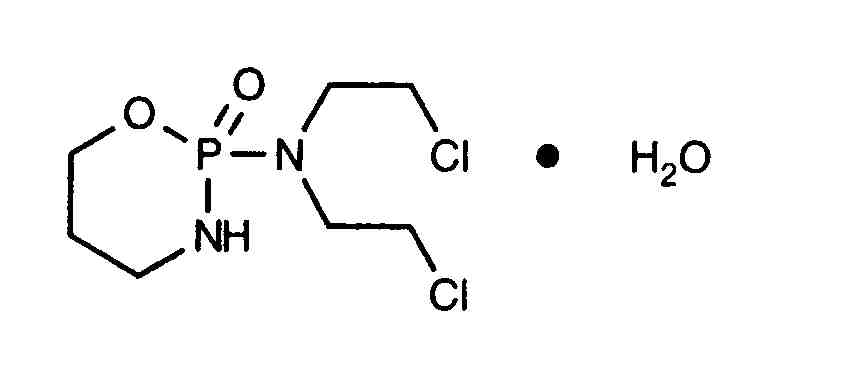
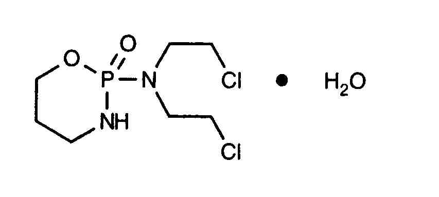
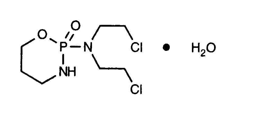
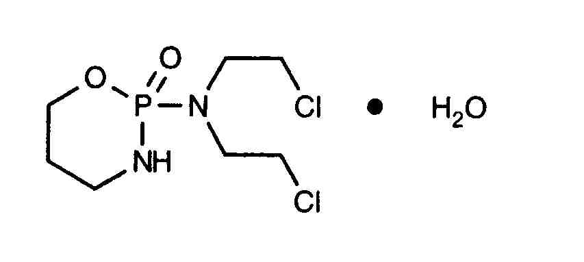
   Kemijska struktura  

Nekomercijalni   Nekomercijalni     

Zaštićeni nazivi su indikativni i sastav ekscipijensa može biti različit ovisno o državi i laboratorijima

Alkyloxan Egipat, Malezija
Celomide Indija
Ciclofosfamida Argentina, Čile, Rumunjska
Cicloxal Španjolska
Cryofaxol Meksiko
Cycloblastin Australija
Cycloblastine Nizozemska
Cyclophosphamid Danska, Njemačka
Cyclophosphamide novi Zeland, S A D, Saudijska Arabija, Velika Britanija
Cyclostin Njemačka
Cycloxan Malezija
Cycram Egipat
Cytoxan Kanada, Madžarska, S A D
Eldamide Indija
Endoxan Indija, Australija, Austrija, Belgija, Čile, Ekvador, Francuska, Grčka, Hrvatska, Iran, Italija, Kolumbija, Luksemburg, Madžarska, Maroko, Nizozemska, Njemačka, novi Zeland, Poljska, Portugal, Saudijska Arabija, Slovenija, Švicarska, Tajland, Tunis, Turska, Ujedinjeni Arapski Emirati, Venecuela
Endoxana Irska, Velika Britanija
Formitex Kolumbija, Meksiko
Genoxal Španjolska
Genuxal Brazil
Hidrofosmin Meksiko
Ledoxan Kolumbija
Ledoxina Kolumbija, Meksiko
Neophos Egipat
Neosar S A D
Procytox Kanada
Sendoxan Danska, Finska, Island, Norveška, Švedska
Syklofosfamid Finska, Turska
način davanja lijeka   način davanja lijeka :Cyclophosphamide     
Voie
intravenozno
intravenozna infuzija
trajna perfuzija
intramuskularni
intraarterijalna
intrapleuralni
intraperitonealni

  Mentions Légales