Laatste update :
18/03/2026
geneesmiddel tegen kanker   Cyclophosphamide  
injecteerbaar geneesmiddel
Capsule Orale Oplossing
Stabiliteit in oplossing Stabiliteit in mengsels Factoren die de stabiliteit beïnvloeden Verenigbaarheden Toedieningswijze Literatuur pdf
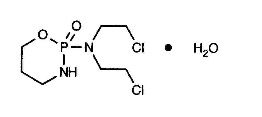
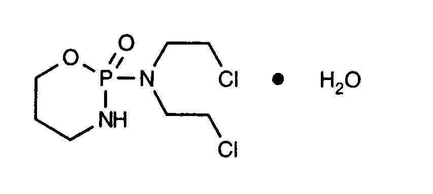
   Molecuulstructuur  

Merknamen in verschillende landen   Merknamen in verschillende landen     

Handelsnamen zijn slechts een indicatie; de samenstelling van hulpstoffen kan per land variëren afhankelijk van de fabrikant

Alkyloxan Egypte, Maleisië
Celomide Indië
Ciclofosfamida Argentinië, Chili, Roemenië
Cicloxal Spanje
Cryofaxol Mexico
Cycloblastin Australië
Cycloblastine Nederland
Cyclophosphamid Denemarken, Duitsland
Cyclophosphamide Groot Britannië, nieuw Zeeland, Saudi-Arabië, USA
Cyclostin Duitsland
Cycloxan Maleisië
Cycram Egypte
Cytoxan Canada, Hongarije, USA
Eldamide Indië
Endoxan Australië, België, Chili, Colombia, Duitsland, Ecuador, Frankrijk, Griekenland, Hongarije, Indië, Iran, Italië, Kroatië, Luxemburg, Marokko, Nederland, nieuw Zeeland, Oostenrijk, Polen, Portugal, Saudi-Arabië, Slovenië, Thailand, Tunisie, Turkije, Venezuela, Verenigde Arabische Emiraten, Zwitserland
Endoxana Groot Britannië, Ierland
Formitex Colombia, Mexico
Genoxal Spanje
Genuxal Brazilië
Hidrofosmin Mexico
Ledoxan Colombia
Ledoxina Colombia, Mexico
Neophos Egypte
Neosar USA
Procytox Canada
Sendoxan Denemarken, Finland, IJsland, Noorwegen, Zweden
Syklofosfamid Finland, Turkije
Toedieningswijze   Toedieningswijze :Cyclophosphamide     
Voie
Intraveneus
Intraveneus infuus
Continu infuus
Intramusculair
Intra-arterieel
Intrapleuraal
Intraperitoneaal

  Mentions Légales