Posledná aktualizácia :
05/12/2025
Protinádorová liečba   Cyclophosphamide  
Injekcia
Kapsula Perorálny roztok
Stabilita roztokov Stabilita v zmesiach Faktory ovplyvňujúce stabilitu Kompatibility spôsob podania Odkazy na literatúru PDF
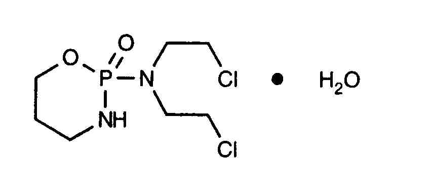
   Chemický vzorec  

Obchodný názov   Obchodný názov     

Obchodné názvy sú orientačné, a zloženie pomocných látok sa môže líšiť v závislosti od krajiny a výrobcu.

Alkyloxan Egypt, Malajzia
Celomide India
Ciclofosfamida Argentína, Čile, Rumunsko
Cicloxal Španielsko
Cryofaxol Mexiko
Cycloblastin Austrália
Cycloblastine Holandsko
Cyclophosphamid Dánsko, Nemecko
Cyclophosphamide nový Zéland, Saudská Arábia, Spojené štáty Americké, Veľká Británia
Cyclostin Nemecko
Cycloxan Malajzia
Cycram Egypt
Cytoxan Kanada, Maďarsko, Spojené štáty Americké
Eldamide India
Endoxan Austrália, Belgicko, Chorvátsko, Čile, Ekvádor, Francúzsko, Grécko, Holandsko, India, Irán, Kolumbia, Luxembursko, Maďarsko, Maroko, Nemecko, nový Zéland, Poľsko, Portugalsko, Rakúsko, Saudská Arábia, Slovinsko, Spojené arabské emiráty, Švajčiarsko, Taliansko, Thajsko, Tunisko, Turecko, Venezuela
Endoxana Írsko, Veľká Británia
Formitex Kolumbia, Mexiko
Genoxal Španielsko
Genuxal Brazília
Hidrofosmin Mexiko
Ledoxan Kolumbia
Ledoxina Kolumbia, Mexiko
Neophos Egypt
Neosar Spojené štáty Americké
Procytox Kanada
Sendoxan Dánsko, Fínsko, Island, Nórsko, Švédsko
Syklofosfamid Fínsko, Turecko
spôsob podania   spôsob podania :Cyclophosphamide     
Voie
intravenózne
intravenózna infúzia
kontinuálna infúzia
intramuskulárne
intraarteriálne
intrapleurálne
intraperitoneálne

  Mentions Légales