Poslední aktualizace :
18/03/2026
vėžio narkotikų   Cyclophosphamide  
Įpurškimas
Geriamas tirpalas Kapsulė
Tirpalų stabilumas Mišinių stabilumas Stabilumą lemiantys veiksniai Suderinamumas Leidimo būdai Bibliografija pdf
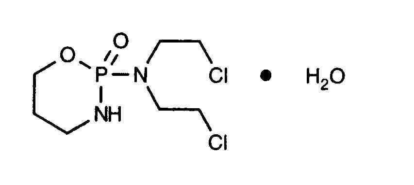
   Cheminė sandara  

Prekinis pavadinimas   Prekinis pavadinimas     

Trade names are indicative and excipients composition can be different depending on the country and manufacturers

Alkyloxan Egiptas, Malaizija
Celomide Indija
Ciclofosfamida Argentina, Čilė, Rumunija
Cicloxal Ispanija
Cryofaxol Meksikas
Cycloblastin Australija
Cycloblastine Olandija
Cyclophosphamid Danija, Vokietija
Cyclophosphamide Didžioji Britanija, Jungtinės Amerikos Valstijos, Naujojoje Zelandijoje, Saudo Arabija
Cyclostin Vokietija
Cycloxan Malaizija
Cycram Egiptas
Cytoxan Jungtinės Amerikos Valstijos, Kanada, Vengrija
Eldamide Indija
Endoxan Australija, Austrija, Belgija, Čilė, Ekvadoras, Graikija, Indija, Iranas, Italija, Jungtiniai Arabų Emyratai, Kolumbija, Kroatija, Lenkija, Liuksemburgas, Marokas, Naujojoje Zelandijoje, Olandija, Portugalija, Prancūzija, Saudo Arabija, Slovėnija, Šveicarija, Tailandas, Tunisas, Turkija, Venesuela, Vengrija, Vokietija
Endoxana Airija, Didžioji Britanija
Formitex Kolumbija, Meksikas
Genoxal Ispanija
Genuxal Brazilija
Hidrofosmin Meksikas
Ledoxan Kolumbija
Ledoxina Kolumbija, Meksikas
Neophos Egiptas
Neosar Jungtinės Amerikos Valstijos
Procytox Kanada
Sendoxan Danija, Islandija, Norvegija, Suomija, Švedija
Syklofosfamid Suomija, Turkija
Leidimo būdai   Leidimo būdai :Cyclophosphamide     
Voie
Intraveninis
Intraveninė infuzija
Pastovi infuzija
Intramuskulinis
Intrarterinis
Švirkščiamas į pleurą
Intraperitoninis

  Mentions Légales