Poslední aktualizace :
18/03/2026
rakovina drog   Cyclophosphamide  
injekce
kapsle Perorální roztok
Stabilita roztoků Stabilita směsí Faktory ovlivňující stabilitu Kompatibilita Způsoby aplikace Odkazy pdf
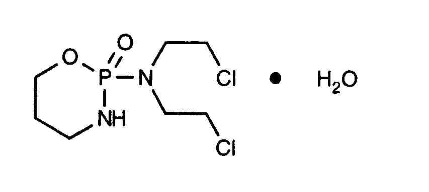
   Chemický vzorec  

Obchodní název   Obchodní název     

Trade names are indicative and excipients composition can be different depending on the country and manufacturers

Alkyloxan Egypt, Malajsie
Celomide Indie
Ciclofosfamida Argentina, Chile, Rumunsko
Cicloxal äpanÏlsko
Cryofaxol Mexiko
Cycloblastin Austrálie
Cycloblastine Nizozemsko
Cyclophosphamid Dánsko, NÏmecko
Cyclophosphamide nový Zéland, Saúdská Arábie, USA, Velká Británie
Cyclostin NÏmecko
Cycloxan Malajsie
Cycram Egypt
Cytoxan Kanada, MaÔarsko, USA
Eldamide Indie
Endoxan Austrálie, Belgie, Chile, Chorvatsko, Ekvádor, Francie, Indie, Írán, Itálie, Kolumbie, Lucembursko, MaÔarsko, Maroko, NÏmecko, Nizozemsko, nový Zéland, Polsko, Portugalsko, Rakousko, Saúdská Arábie, Slovinsko, Spojené arabské emiráty, Švýcarsko, Thajsko, Tunisko, Turecko, Venezuela, ÿecko
Endoxana Irsko, Velká Británie
Formitex Kolumbie, Mexiko
Genoxal äpanÏlsko
Genuxal BrazÌlie
Hidrofosmin Mexiko
Ledoxan Kolumbie
Ledoxina Kolumbie, Mexiko
Neophos Egypt
Neosar USA
Procytox Kanada
Sendoxan Dánsko, Finsko, Island, Norsko, Švédsko
Syklofosfamid Finsko, Turecko
Způsoby aplikace   Způsoby aplikace :Cyclophosphamide     
Voie
intravenÛznÏ
Intravenózní infúze
Kontinuální infúze
intramuskulárně
intraarteriálně
intrapleurálně
intraperitoneálně

  Mentions Légales