Last update :
18/03/2026
Anticancer drug   Cyclophosphamide  
injection
Capsule Oral solution
Stability in solutions Stability of mixtures Factors which affect stability Compatibility Route of administration References pdf
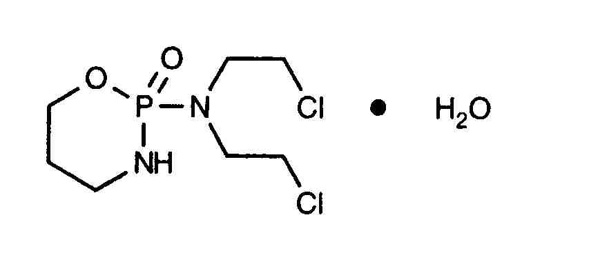
   Chemical structure  

Tradename   Tradename     

Trade names are indicative and excipients composition can be different depending on the country and manufacturers

Alkyloxan Egypt, Malaysia
Celomide India
Ciclofosfamida Argentina, Chile, Romania
Cicloxal Spain
Cryofaxol Mexico
Cycloblastin Australia
Cycloblastine Netherlands
Cyclophosphamid Denmark, Germany
Cyclophosphamide Great Britain, New Zealand, Saudi Arabia, United States of America
Cyclostin Germany
Cycloxan Malaysia
Cycram Egypt
Cytoxan Canada, Hungary, United States of America
Eldamide India
Endoxan Australia, Austria, Belgium, Chile, Colombia, Croatia, Ecuador, France, Germany, Greece, Hungary, India, Iran, Italy, Luxembourg, Morocco, Netherlands, New Zealand, Poland, Portugal, Saudi Arabia, Slovenia, Switzerland, Thailand, Tunisia, Turkey, United Arab Emirates, Venezuela
Endoxana Great Britain, Ireland
Formitex Colombia, Mexico
Genoxal Spain
Genuxal Brazil
Hidrofosmin Mexico
Ledoxan Colombia
Ledoxina Colombia, Mexico
Neophos Egypt
Neosar United States of America
Procytox Canada
Sendoxan Denmark, Finland, Iceland, Norway, Sweden
Syklofosfamid Finland, Turkey
Route of administration   Route of administration :Cyclophosphamide     
Route
Intravenous
Intravenous infusion
Continuous infusion
Intramuscular
Intra-arterial
Intrapleural
Intraperitoneal

  Mentions Légales