Останнє оновлення :
18/03/2026
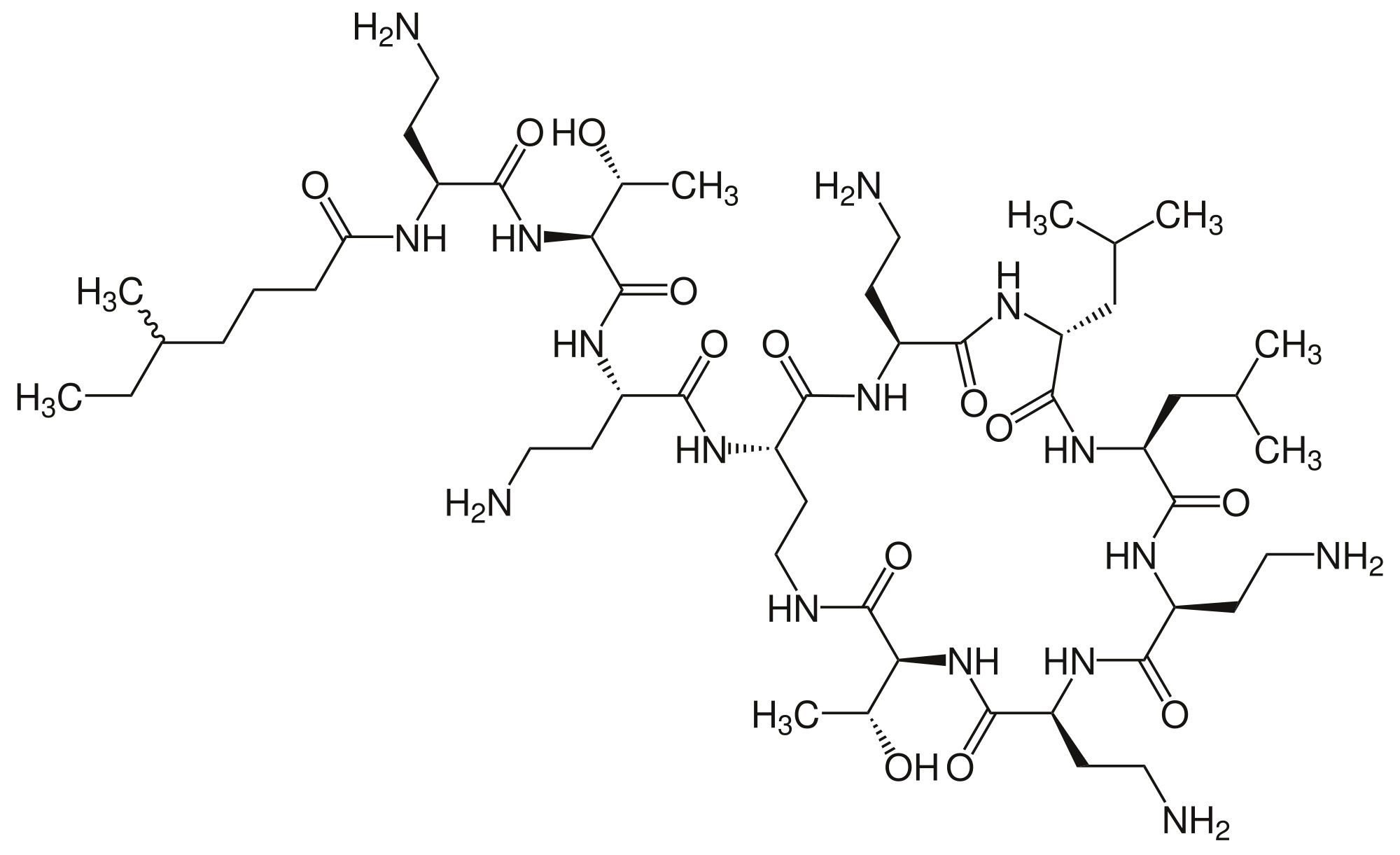
Антибіотик   Colistin mesilate sodium  
ін'єкція
аерозоль
Стійкість в розчинах Стійкість сумішей Фактори, що впливають на стабільність Сумісність Шлях введення Список літератури pdf
   Хімічна структура  

Торгова назва   Торгова назва     

Торгові назви є орієнтовними, а склад допоміжних речовин може бути різним залежно від країни та виробника

Alficetin Аргентина
Colimicina Італія
Colimycin Данія, Норвегія, Туреччина
Colimycine Люксембург, Марокко, Нідерланди, Туніс, Франція
Colismet Перу
Colistimethate Великобританія, Канада, Сполучені Штати Америки, Франція
Colistin Австрія, Греція, Німеччина, Нова Зеландія, Польща
Colistina Аргентина, Португалія, Чилі
Colistineb Бельгія
Colistyn Аргентина
Colixin Словенія
Colomycin Ірландія, Великобританія, Канада, Малайзія, Сполучені Штати Америки
Dicupal Чилі
Elistin Перу
Kolisod Туреччина
Nolisin
Promixin Ірландія, Великобританія, Німеччина, Норвегія
Toliscrin Аргентина
Стійкість в розчинах   ін'єкція   Стійкість в розчинах : Colistin mesilate sodium     
Контейнер Розчинник Концентрація температура Зберігання Тривалість стабільності Список літератури
скло Вода для ін'єкцій 200 mg/ml 25°C Берегти від світла
7 День
2285
Рівень доказовості D

скло Вода для ін'єкцій 200 mg/ml 4°C Берегти від світла
7 День
2285
Рівень доказовості D

скло Вода для ін'єкцій 75 mg/ml -20°C Берегти від світла
24 годину
3360
Рівень доказовості B

скло Вода для ін'єкцій 75 mg/ml 21°C Не визначено
24 годину
3360
Рівень доказовості B

скло Вода для ін'єкцій 75 mg/ml 4°C Не визначено
24 годину
3360
Рівень доказовості B

Полівініл хлорид Натрію хлорид 0,9% 4 mg/ml 4°C Берегти від світла
48 годину
2285
Рівень доказовості D

Полівініл хлорид Глюкоза 5% 4 mg/ml 4°C Берегти від світла
48 годину
2285
Рівень доказовості D

Поліолефін Натрію хлорид 0,9% 1,6 mg/ml 2-8°C Берегти від світла
7 День
4178
Рівень доказовості B

Поліолефін Натрію хлорид 0,9% 1,6 mg/ml 20-24°C Зі світлом чи без
1 День
4178
Рівень доказовості B

Поліізопреновий еластомер Натрію хлорид 0,9% 0,8 & 2,4 mg/ml 2-8°C Берегти від світла
7 День
4178
Рівень доказовості B

Поліізопреновий еластомер Натрію хлорид 0,9% 0,8 & 2,4 mg/ml 20-24°C Зі світлом чи без
1 День
4178
Рівень доказовості B

Силіконовий еластомер Натрію хлорид 0,9% 0,8 mg/ml 4°C Не визначено
3 День
2783
Рівень доказовості А


  Mentions Légales