zadnja posodobitev :
18/03/2026
Antibiotik   Colistin mesilate sodium  
Brizgalka
Aerosol
Stabilnost raztopine Stabilnost mešanice Faktorji, ki vplivajo na stabilnost Kompatibilnost način aplikacije Viri pdf
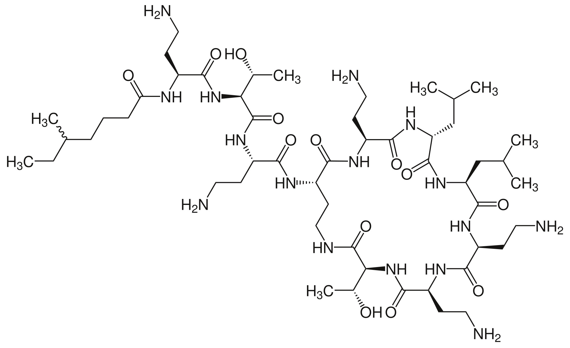
   Kemična formula  

Lastniško ime   Lastniško ime     

Sestava pomožnih snovi je med paralelami lahko različna

Alficetin Argentina
Colimicina Italija
Colimycin Danska, Norveška, Turčija
Colimycine Francija, Luksemburg, Maroko, Nizozemska, Tunizija
Colismet Peru
Colistimethate Francija, Kanada, Velika Britanija, Združene države Amerike
Colistin Avstrija, Grčija, Nemčija, nova Zelandija, Poljska
Colistina Argentina, Čile, Portugalska
Colistineb Belgija
Colistyn Argentina
Colixin Slovenija
Colomycin Irska, Kanada, Malezija, Velika Britanija, Združene države Amerike
Dicupal Čile
Elistin Peru
Kolisod Turčija
Nolisin
Promixin Irska, Nemčija, Norveška, Velika Britanija
Toliscrin Argentina
Stabilnost raztopine   Brizgalka   Stabilnost raztopine : Colistin mesilate sodium     
Vsebnik Topilo Koncentracija Temperatura Shranjevanje Trajanje stabilnosti Viri
Steklo Voda za injekcije 200 mg/ml 25°C Zaščiteno pred svetlobo
7 Dan
2285
 Stopnja dokaza D

Steklo Voda za injekcije 200 mg/ml 4°C Zaščiteno pred svetlobo
7 Dan
2285
 Stopnja dokaza D

Steklo Voda za injekcije 75 mg/ml -20°C Zaščiteno pred svetlobo
24 čas
3360
 Stopnja dokaza B

Steklo Voda za injekcije 75 mg/ml 21°C Nedoločeno
24 čas
3360
 Stopnja dokaza B

Steklo Voda za injekcije 75 mg/ml 4°C Nedoločeno
24 čas
3360
 Stopnja dokaza B

Polivinil klorid Natrijev klorid 0,9% 4 mg/ml 4°C Zaščiteno pred svetlobo
48 čas
2285
 Stopnja dokaza D

Polivinil klorid Glukoza 5% 4 mg/ml 4°C Zaščiteno pred svetlobo
48 čas
2285
 Stopnja dokaza D

Poliolefin Natrijev klorid 0,9% 1,6 mg/ml 2-8°C Zaščiteno pred svetlobo
7 Dan
4178
 Stopnja dokaza B

Poliolefin Natrijev klorid 0,9% 1,6 mg/ml 20-24°C Z ali brez svetlobe
1 Dan
4178
 Stopnja dokaza B

Poliizoprenski elastomer Natrijev klorid 0,9% 0,8 & 2,4 mg/ml 2-8°C Zaščiteno pred svetlobo
7 Dan
4178
 Stopnja dokaza B

Poliizoprenski elastomer Natrijev klorid 0,9% 0,8 & 2,4 mg/ml 20-24°C Z ali brez svetlobe
1 Dan
4178
 Stopnja dokaza B

Silikonski elastomer Natrijev klorid 0,9% 0,8 mg/ml 4°C Nedoločeno
3 Dan
2783
 Stopnja dokaza A


  Mentions Légales