Poslední aktualizace :
18/03/2026
Antibiotikas   Colistin mesilate sodium  
Įpurškimas
Aerozolis
Tirpalų stabilumas Mišinių stabilumas Stabilumą lemiantys veiksniai Suderinamumas Leidimo būdai Bibliografija pdf
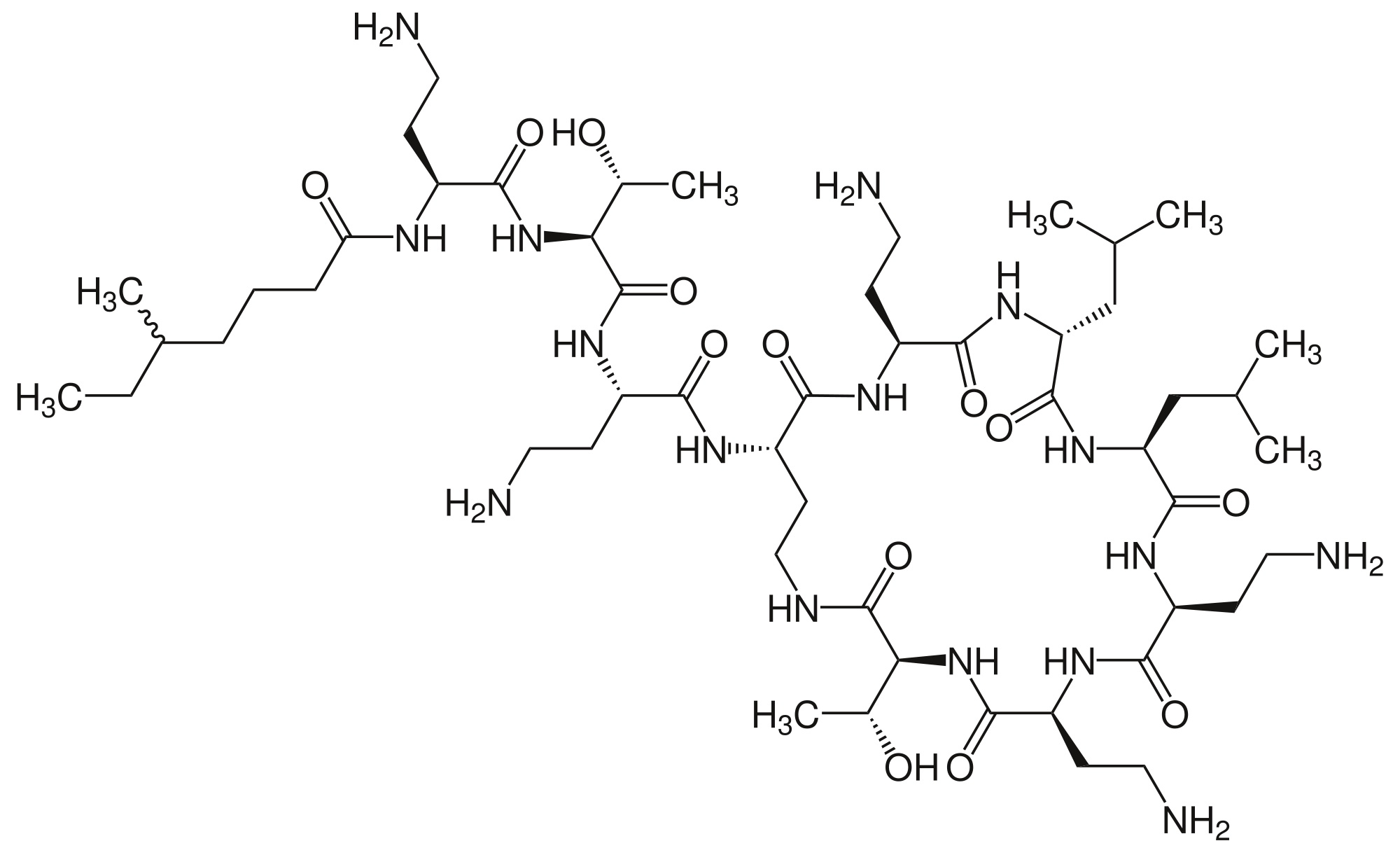
   Cheminė sandara  

Prekinis pavadinimas   Prekinis pavadinimas     

Trade names are indicative and excipients composition can be different depending on the country and manufacturers

Alficetin Argentina
Colimicina Italija
Colimycin Danija, Norvegija, Turkija
Colimycine Liuksemburgas, Marokas, Olandija, Prancūzija, Tunisas
Colismet Peru
Colistimethate Didžioji Britanija, Jungtinės Amerikos Valstijos, Kanada, Prancūzija
Colistin Austrija, Graikija, Lenkija, Naujojoje Zelandijoje, Vokietija
Colistina Argentina, Čilė, Portugalija
Colistineb Belgija
Colistyn Argentina
Colixin Slovėnija
Colomycin Airija, Didžioji Britanija, Jungtinės Amerikos Valstijos, Kanada, Malaizija
Dicupal Čilė
Elistin Peru
Kolisod Turkija
Nolisin
Promixin Airija, Didžioji Britanija, Norvegija, Vokietija
Toliscrin Argentina
Tirpalų stabilumas   Įpurškimas   Tirpalų stabilumas : Colistin mesilate sodium     
Pakuotė Tirpiklis Koncentracija Temperatūra Laikymas Stabilumo trukmė Nuorodos
Stiklas Vanduo injekcijoms 200 mg/ml 25°C Apsaugotas nuo šviesos
7 Diena
2285
Bandymo lygis D

Stiklas Vanduo injekcijoms 200 mg/ml 4°C Apsaugotas nuo šviesos
7 Diena
2285
Bandymo lygis D

Stiklas Vanduo injekcijoms 75 mg/ml -20°C Apsaugotas nuo šviesos
24 Valanda
3360
Bandymo lygis B

Stiklas Vanduo injekcijoms 75 mg/ml 21°C Nenurodyta
24 Valanda
3360
Bandymo lygis B

Stiklas Vanduo injekcijoms 75 mg/ml 4°C Nenurodyta
24 Valanda
3360
Bandymo lygis B

Polivinilchloridas Natrio chloridas 0,9% 4 mg/ml 4°C Apsaugotas nuo šviesos
48 Valanda
2285
Bandymo lygis D

Polivinilchloridas Gliukozė 5% 4 mg/ml 4°C Apsaugotas nuo šviesos
48 Valanda
2285
Bandymo lygis D

Poliolefinas Natrio chloridas 0,9% 1,6 mg/ml 2-8°C Apsaugotas nuo šviesos
7 Diena
4178
Bandymo lygis B

Poliolefinas Natrio chloridas 0,9% 1,6 mg/ml 20-24°C Ir šviesoje, ir tamsoje
1 Diena
4178
Bandymo lygis B

Poliizopreno elastomeras Natrio chloridas 0,9% 0,8 & 2,4 mg/ml 2-8°C Apsaugotas nuo šviesos
7 Diena
4178
Bandymo lygis B

Poliizopreno elastomeras Natrio chloridas 0,9% 0,8 & 2,4 mg/ml 20-24°C Ir šviesoje, ir tamsoje
1 Diena
4178
Bandymo lygis B

Silikono elastomeras Natrio chloridas 0,9% 0,8 mg/ml 4°C Nenurodyta
3 Diena
2783
Bandymo lygis A


  Mentions Légales