Utolsó frissítés :
18/03/2026
Antibiotikum   Colistin mesilate sodium  
Injekció
aeroszol
Az oldatok stabilitása A keverékek stabilitása Stabilitást befolyásoló tényezők Kompatibilitás Az alkalmazás módja Irodalom pdf
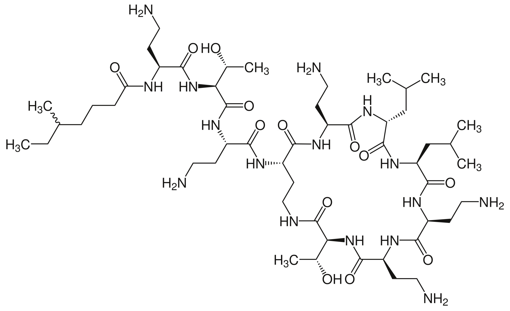
   Kémiai szerkezet   

Kereskedelmi név   Kereskedelmi név     

A kereskedelmi név meghatározó jelentőségű: a készítmények összetétele országonként, előállítóként eltérő lehet

Alficetin Argentína
Colimicina Olaszország
Colimycin Dánia, Norvégia, Törökország
Colimycine Franciaország, Hollandia, Luxemburg, Marokkó, Tunézia
Colismet Peru
Colistimethate Amerikai Egyesült Államok, Franciaország, Kanada, Nagy-Britannia
Colistin Ausztria, Görögország, Lengyelország, Németország, új-Zéland
Colistina Argentína, Chile, Portugália
Colistineb Belgium
Colistyn Argentína
Colixin Szlovénia
Colomycin Amerikai Egyesült Államok, Írország, Kanada, Malaysia, Nagy-Britannia
Dicupal Chile
Elistin Peru
Kolisod Törökország
Nolisin
Promixin Írország, Nagy-Britannia, Németország, Norvégia
Toliscrin Argentína
Az oldatok stabilitása   Injekció   Az oldatok stabilitása : Colistin mesilate sodium     
Csomagolás Oldószer Koncentráció Hőmérséklet Tárolás A stabilitás időtartama Irodalom
Üveg Injekcióhoz való víz 200 mg/ml 25°C Fénytől védve tartandó
7 Nap
2285
Szintű bizonyítékot D

Üveg Injekcióhoz való víz 200 mg/ml 4°C Fénytől védve tartandó
7 Nap
2285
Szintű bizonyítékot D

Üveg Injekcióhoz való víz 75 mg/ml -20°C Fénytől védve tartandó
24 Óra
3360
Szintű bizonyítékot B

Üveg Injekcióhoz való víz 75 mg/ml 21°C Nincs meghatározva
24 Óra
3360
Szintű bizonyítékot B

Üveg Injekcióhoz való víz 75 mg/ml 4°C Nincs meghatározva
24 Óra
3360
Szintű bizonyítékot B

Poli(vinilklorid) 0,9% nátrium-klorid 4 mg/ml 4°C Fénytől védve tartandó
48 Óra
2285
Szintű bizonyítékot D

Poli(vinilklorid) 5% glükóz 4 mg/ml 4°C Fénytől védve tartandó
48 Óra
2285
Szintű bizonyítékot D

Poliolefin 0,9% nátrium-klorid 1,6 mg/ml 2-8°C Fénytől védve tartandó
7 Nap
4178
Szintű bizonyítékot B

Poliolefin 0,9% nátrium-klorid 1,6 mg/ml 20-24°C Fénnyel vagy anélkül
1 Nap
4178
Szintű bizonyítékot B

Poliizoprén elasztomer 0,9% nátrium-klorid 0,8 & 2,4 mg/ml 2-8°C Fénytől védve tartandó
7 Nap
4178
Szintű bizonyítékot B

Poliizoprén elasztomer 0,9% nátrium-klorid 0,8 & 2,4 mg/ml 20-24°C Fénnyel vagy anélkül
1 Nap
4178
Szintű bizonyítékot B

Szilikon elasztomer 0,9% nátrium-klorid 0,8 mg/ml 4°C Nincs meghatározva
3 Nap
2783
Szintű bizonyítékot A


  Mentions Légales