Zadnji put ažurirano :
18/03/2026
antibiotik   Colistin mesilate sodium  
injekcija
aerosol
Stabilizacija rješenja Stabilnost mješavine Stabilizacijski faktor Kompatibilnosti način davanja lijeka Bibliografija pdf
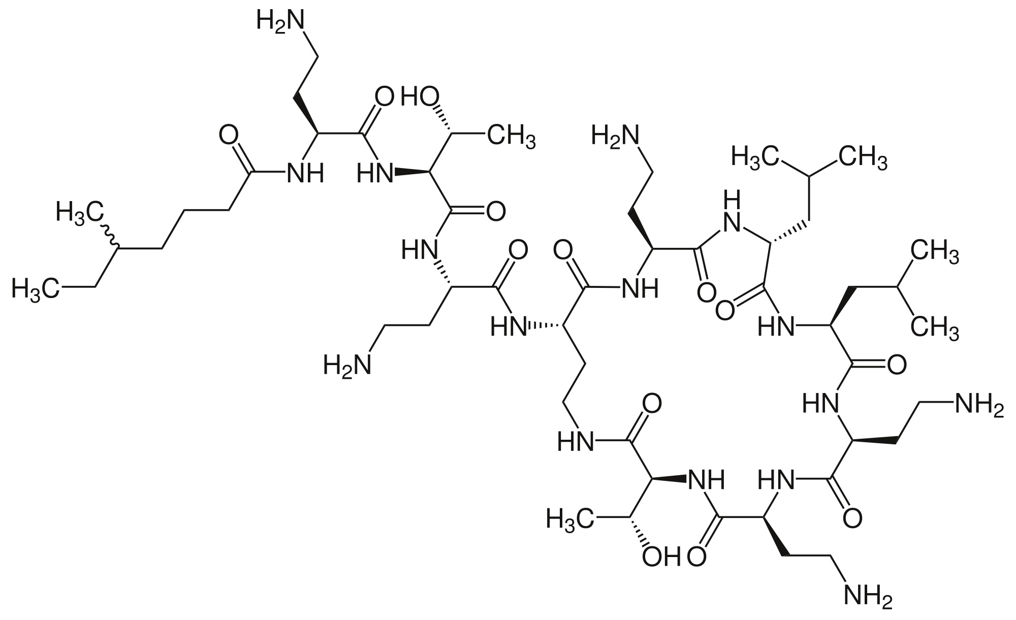
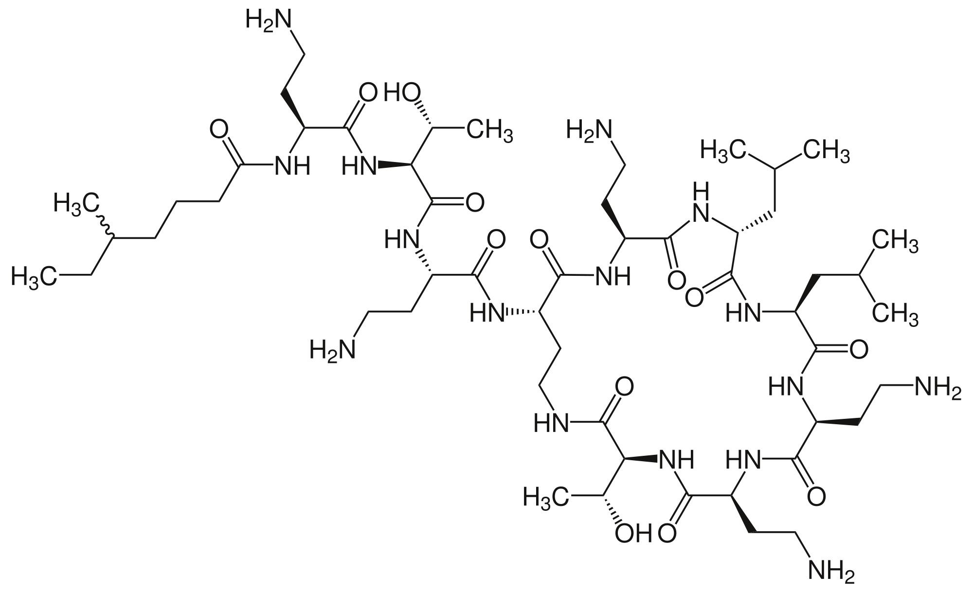
   Kemijska struktura  

Nekomercijalni   Nekomercijalni     

Zaštićeni nazivi su indikativni i sastav ekscipijensa može biti različit ovisno o državi i laboratorijima

Alficetin Argentina
Colimicina Italija
Colimycin Danska, Norveška, Turska
Colimycine Francuska, Luksemburg, Maroko, Nizozemska, Tunis
Colismet Peru
Colistimethate Francuska, Kanada, S A D, Velika Britanija
Colistin Austrija, Grčka, Njemačka, novi Zeland, Poljska
Colistina Argentina, Čile, Portugal
Colistineb Belgija
Colistyn Argentina
Colixin Slovenija
Colomycin Irska, Kanada, Malezija, S A D, Velika Britanija
Dicupal Čile
Elistin Peru
Kolisod Turska
Nolisin
Promixin Irska, Njemačka, Norveška, Velika Britanija
Toliscrin Argentina
Stabilizacija rješenja   injekcija   Stabilizacija rješenja : Colistin mesilate sodium     
Kontejner sredstvo za rastapanje koncentracija temperatura Konzerviranje Trajanje stabilnosti Bibliografija
čaša čista voda za injektiranje 200 mg/ml 25°C Zaštićeno od svjetlosti
7 dan
2285
Razina dokaza D

čaša čista voda za injektiranje 200 mg/ml 4°C Zaštićeno od svjetlosti
7 dan
2285
Razina dokaza D

čaša čista voda za injektiranje 75 mg/ml -20°C Zaštićeno od svjetlosti
24 sat
3360
Razina dokaza B

čaša čista voda za injektiranje 75 mg/ml 21°C nespecifičan
24 sat
3360
Razina dokaza B

čaša čista voda za injektiranje 75 mg/ml 4°C nespecifičan
24 sat
3360
Razina dokaza B

polivinilklorid natrijumkorid 0,9% 4 mg/ml 4°C Zaštićeno od svjetlosti
48 sat
2285
Razina dokaza D

polivinilklorid glukoza 5% 4 mg/ml 4°C Zaštićeno od svjetlosti
48 sat
2285
Razina dokaza D

poliolefin natrijumkorid 0,9% 1,6 mg/ml 2-8°C Zaštićeno od svjetlosti
7 dan
4178
Razina dokaza B

poliolefin natrijumkorid 0,9% 1,6 mg/ml 20-24°C Sa i bez svjetlosti
1 dan
4178
Razina dokaza B

Poliizoprenski elastomer natrijumkorid 0,9% 0,8 & 2,4 mg/ml 2-8°C Zaštićeno od svjetlosti
7 dan
4178
Razina dokaza B

Poliizoprenski elastomer natrijumkorid 0,9% 0,8 & 2,4 mg/ml 20-24°C Sa i bez svjetlosti
1 dan
4178
Razina dokaza B

Silikonski elastomer natrijumkorid 0,9% 0,8 mg/ml 4°C nespecifičan
3 dan
2783
Razina dokaza A


  Mentions Légales