Seneste opdatering :
18/03/2026
Antibiotisk   Colistin mesilate sodium  
Injektion
Aerosol
Stabilitet i (vandige) opløsninger Stabilitet i blandinger Faktorer der påvirker stabiliteten Kompatibilitet Administrationsvej Bibliografi pdf
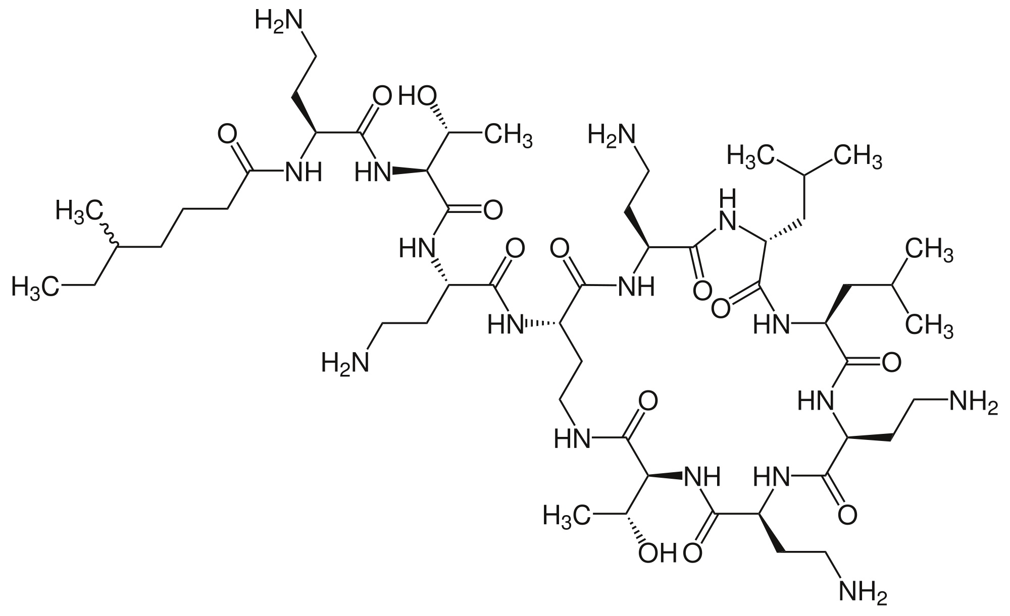
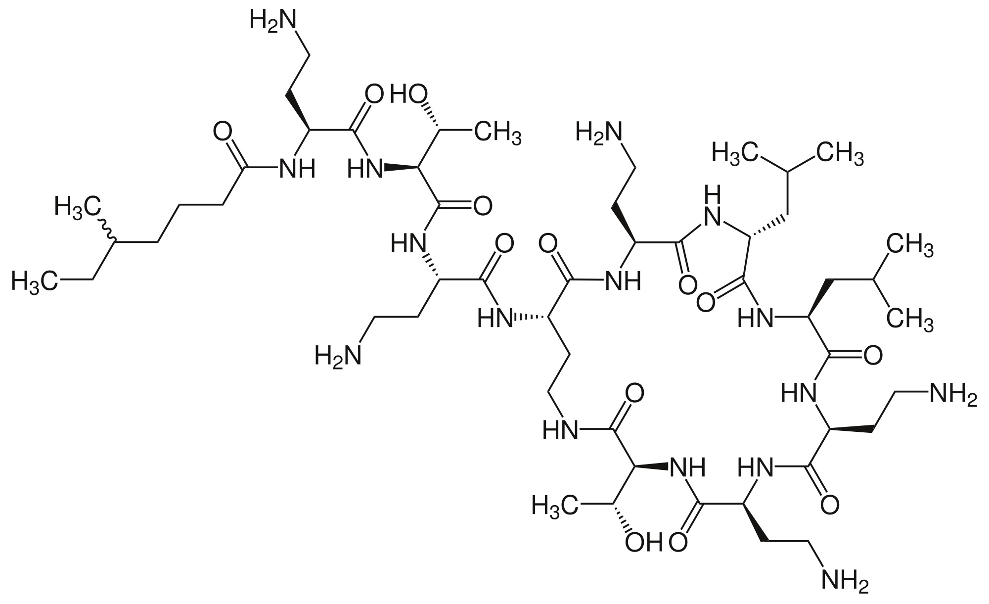
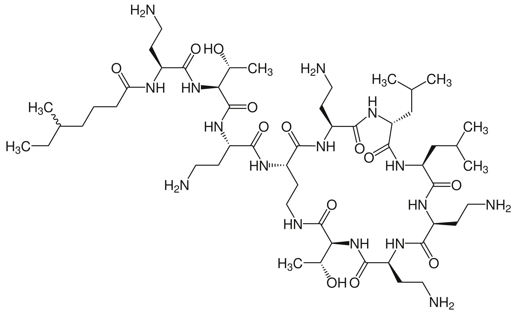
   Kemisk struktur  

Handelsnavn   Handelsnavn     

Handel navne er vejledende og hjælpestoffer sammensætning kan være forskellig afhængigt af landet og laboratorier

Alficetin Argentina
Colimicina Italien
Colimycin Danmark, Norge, Tyrkiet
Colimycine Frankrig, Holland, Luxemborg, Marokko, Tunesien
Colismet Marokko
Colistimethate Canada, Frankrig, Storbritanien, USA
Colistin Grækenland, New Zealand, Polen, Tyskland, Østrig
Colistina Argentina, Chile, Portugal
Colistineb Belgien
Colistyn Argentina
Colixin Slovenien
Colomycin Canada, Irland, Malaysia, Storbritanien, USA
Dicupal Chile
Elistin Marokko
Kolisod Tyrkiet
Nolisin
Promixin Irland, Norge, Storbritanien, Tyskland
Toliscrin Argentina
Stabilitet i (vandige) opløsninger   Injektion   Stabilitet i (vandige) opløsninger : Colistin mesilate sodium     
Beholder Opløsningsmiddel Koncentration Temperatur Konservering Varighed af stabilitet Bibliografi
Glas Vand til injektion 200 mg/ml 25°C Beskyt mod lys
7 Dag
2285
Level af bevismateriale D

Glas Vand til injektion 200 mg/ml 4°C Beskyt mod lys
7 Dag
2285
Level af bevismateriale D

Glas Vand til injektion 75 mg/ml -20°C Beskyt mod lys
24 Time
3360
Level af bevismateriale B

Glas Vand til injektion 75 mg/ml 21°C Ikke nærmere angivet
24 Time
3360
Level af bevismateriale B

Glas Vand til injektion 75 mg/ml 4°C Ikke nærmere angivet
24 Time
3360
Level af bevismateriale B

Polyvinylklorid 0,9 % Natriumklorid 4 mg/ml 4°C Beskyt mod lys
48 Time
2285
Level af bevismateriale D

Polyvinylklorid 5 % Glukose 4 mg/ml 4°C Beskyt mod lys
48 Time
2285
Level af bevismateriale D

Polyolefin 0,9 % Natriumklorid 1,6 mg/ml 2-8°C Beskyt mod lys
7 Dag
4178
Level af bevismateriale B

Polyolefin 0,9 % Natriumklorid 1,6 mg/ml 20-24°C Med eller uden lys
1 Dag
4178
Level af bevismateriale B

Polyisopren elastomer 0,9 % Natriumklorid 0,8 & 2,4 mg/ml 2-8°C Beskyt mod lys
7 Dag
4178
Level af bevismateriale B

Polyisopren elastomer 0,9 % Natriumklorid 0,8 & 2,4 mg/ml 20-24°C Med eller uden lys
1 Dag
4178
Level af bevismateriale B

Elastomer i silikone 0,9 % Natriumklorid 0,8 mg/ml 4°C Ikke nærmere angivet
3 Dag
2783
Level af bevismateriale A


  Mentions Légales