Τελευταία ενημέρωση :
18/03/2026
Αντιβιοτικό   Colistin mesilate sodium  
Ενέσιμο
Αεροζόλ
Σταθερότητα διαλυμάτων Σταθερότητα σε μίγματα Παράγοντας που επηρεάζει τη σταθερότητα Συμβατότητες Τρόπος χορήγησης Βιβλιογραφία pdf
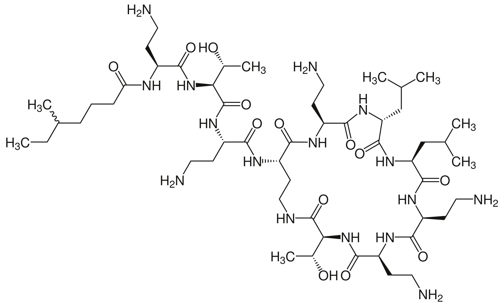
   χημική δομή  

Εμπορική ονομασία   Εμπορική ονομασία     

Οι εμπορικές ονομασίες είναι ενδεικτικές και η σύνθεση των εκδόχων μπορεί να διαφέρει ανάλογα με τη χώρα και τα εργαστήρια

Alficetin Αργεντινή
Colimicina Ιταλία
Colimycin Δανία, Νορβηγία, Τουρκία
Colimycine Γαλλία, Λουξεμβούργο, Μαρόκο, Ολλανδία, Τυνησία
Colismet Περού
Colistimethate Γαλλία, Η.Π.Α., Καναδάς, Μεγάλη Βρετανία
Colistin Αυστρία, Γερμανία, Ελλάδα, νέα Ζηλανδία, Πολωνία
Colistina Αργεντινή, Πορτογαλία, Χιλή
Colistineb Βέλγιο
Colistyn Αργεντινή
Colixin Σλοβενία
Colomycin Η.Π.Α., Ιρλανδία, Καναδάς, Μαλαισία, Μεγάλη Βρετανία
Dicupal Χιλή
Elistin Περού
Kolisod Τουρκία
Nolisin
Promixin Γερμανία, Ιρλανδία, Μεγάλη Βρετανία, Νορβηγία
Toliscrin Αργεντινή
Σταθερότητα διαλυμάτων   Ενέσιμο   Σταθερότητα διαλυμάτων : Colistin mesilate sodium     
Υποδοχέας Διαλυτικό Συγκέντρωση Θερμοκρασία Αποθήκευση Διάρκεια σταθερότητας Βιβλιογραφία
Ύαλος Ενέσιμο ύδωρ 200 mg/ml 25°C Προστατεύετε από το φως
7 Ημέρα
2285
Επίπεδο των αποδεικτικών στοιχείων D

Ύαλος Ενέσιμο ύδωρ 200 mg/ml 4°C Προστατεύετε από το φως
7 Ημέρα
2285
Επίπεδο των αποδεικτικών στοιχείων D

Ύαλος Ενέσιμο ύδωρ 75 mg/ml -20°C Προστατεύετε από το φως
24 Ώρα
3360
Επίπεδο των αποδεικτικών στοιχείων B

Ύαλος Ενέσιμο ύδωρ 75 mg/ml 21°C Απροσδιόριστο
24 Ώρα
3360
Επίπεδο των αποδεικτικών στοιχείων B

Ύαλος Ενέσιμο ύδωρ 75 mg/ml 4°C Απροσδιόριστο
24 Ώρα
3360
Επίπεδο των αποδεικτικών στοιχείων B

Πολυβινυλοχλωρίδιο Χλωριούχο νάτριο 0,9% 4 mg/ml 4°C Προστατεύετε από το φως
48 Ώρα
2285
Επίπεδο των αποδεικτικών στοιχείων D

Πολυβινυλοχλωρίδιο Γλυκόζη 5% 4 mg/ml 4°C Προστατεύετε από το φως
48 Ώρα
2285
Επίπεδο των αποδεικτικών στοιχείων D

Πολυολεφίνη Χλωριούχο νάτριο 0,9% 1,6 mg/ml 2-8°C Προστατεύετε από το φως
7 Ημέρα
4178
Επίπεδο των αποδεικτικών στοιχείων B

Πολυολεφίνη Χλωριούχο νάτριο 0,9% 1,6 mg/ml 20-24°C Με ή χωρίς φως
1 Ημέρα
4178
Επίπεδο των αποδεικτικών στοιχείων B

Ελαστομερές πολυισοπρένιο Χλωριούχο νάτριο 0,9% 0,8 & 2,4 mg/ml 2-8°C Προστατεύετε από το φως
7 Ημέρα
4178
Επίπεδο των αποδεικτικών στοιχείων B

Ελαστομερές πολυισοπρένιο Χλωριούχο νάτριο 0,9% 0,8 & 2,4 mg/ml 20-24°C Με ή χωρίς φως
1 Ημέρα
4178
Επίπεδο των αποδεικτικών στοιχείων B

Ελαστομερές σιλικόνης Χλωριούχο νάτριο 0,9% 0,8 mg/ml 4°C Απροσδιόριστο
3 Ημέρα
2783
Επίπεδο των αποδεικτικών στοιχείων A


  Mentions Légales