最新更新 :
18/03/2026
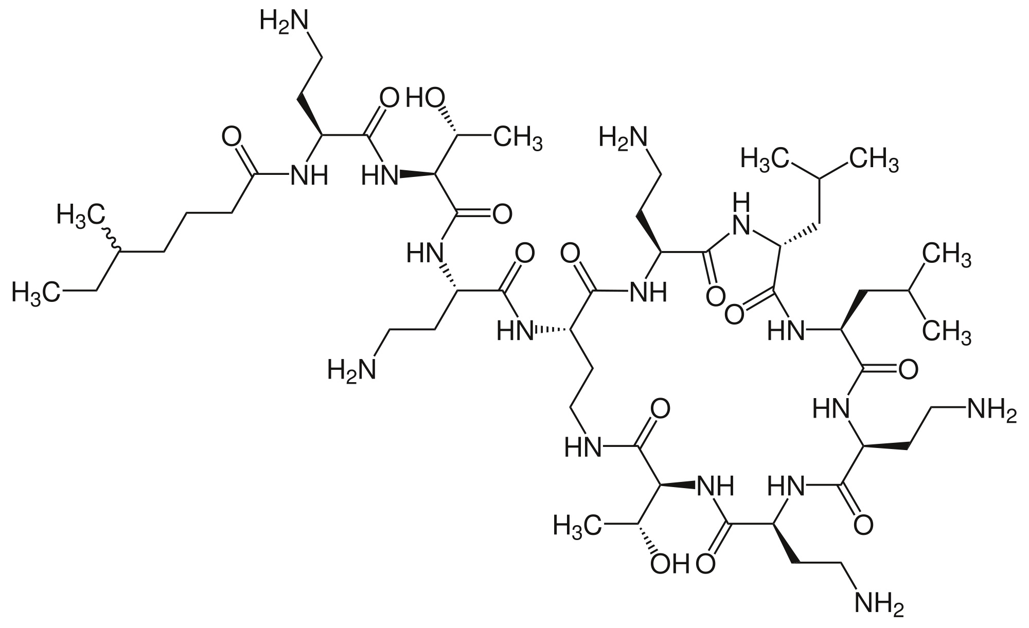
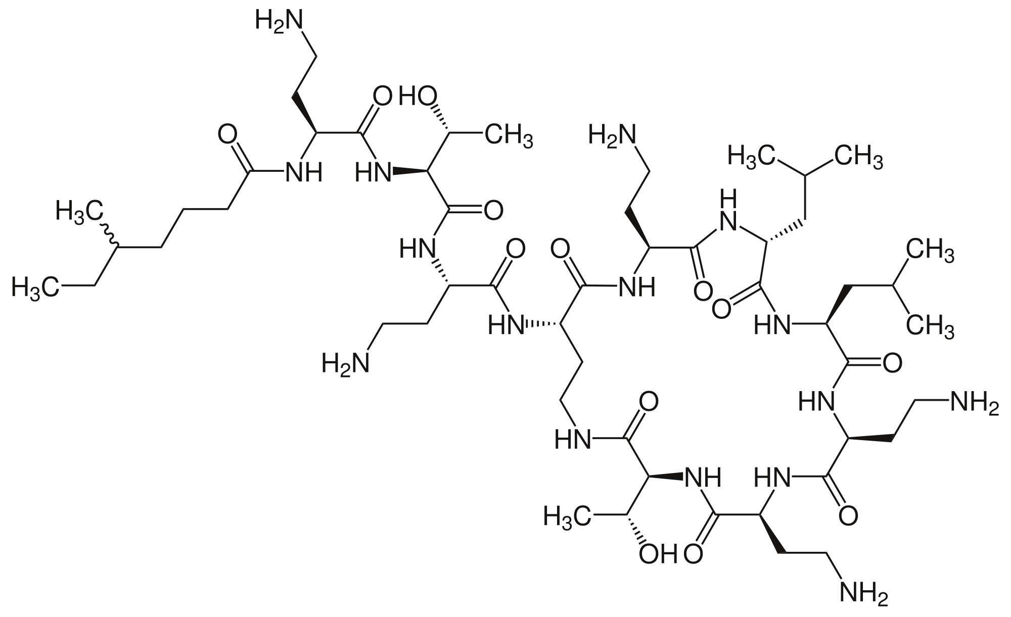
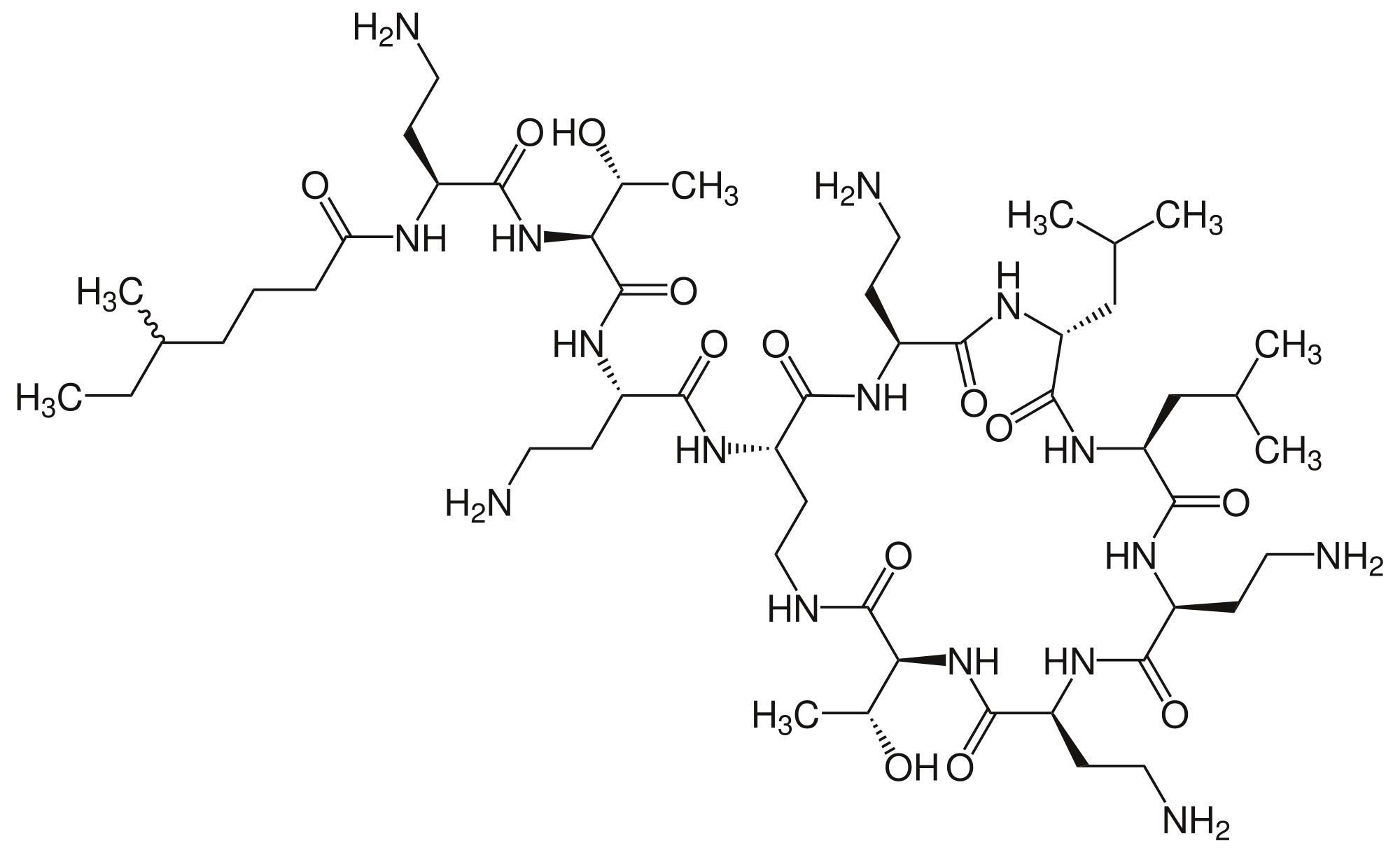
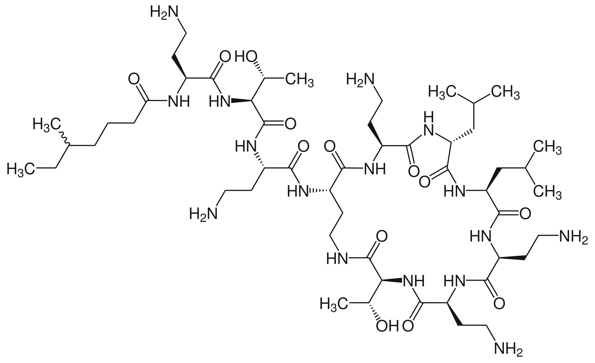
抗生素   Colistin mesilate sodium  
注射液
气雾剂
溶液稳定性 混合物稳定性 影响稳定性的因素 兼容性 用药途径 引用文献 PDF
   化学式  

商品名   商品名     

商品名仅供参考, 药品所用的辅料可能依国家或厂商不同有所不同。

Alficetin 阿根廷
Colimicina 意大利
Colimycin 丹麦, 土耳其, 挪威
Colimycine 卢森堡, 摩洛哥, 法国, 突尼斯, 荷兰
Colismet 秘鲁
Colistimethate 加拿大, 法国, 美国, 英国
Colistin 奥地利, 希腊, 德国, 新西蘭, 波兰
Colistina 智利, 葡萄牙, 阿根廷
Colistineb 比利时
Colistyn 阿根廷
Colixin 斯洛文尼亚
Colomycin 加拿大, 爱尔兰, 美国, 英国, 马来西亚
Dicupal 智利
Elistin 秘鲁
Kolisod 土耳其
Nolisin
Promixin 德国, 挪威, 爱尔兰, 英国
Toliscrin 阿根廷
溶液稳定性   注射液   溶液稳定性 : Colistin mesilate sodium     
容器 溶剂 浓度 温度 保存 穩定持續時間 引用文献
玻璃 注射用水 200 mg/ml 25°C 避光
7 白天
2285
D级

玻璃 注射用水 200 mg/ml 4°C 避光
7 白天
2285
D级

玻璃 注射用水 75 mg/ml -20°C 避光
24 小时
3360
B级

玻璃 注射用水 75 mg/ml 21°C 无特殊要求
24 小时
3360
B级

玻璃 注射用水 75 mg/ml 4°C 无特殊要求
24 小时
3360
B级

聚氯乙烯 NaCl 0,9% 4 mg/ml 4°C 避光
48 小时
2285
D级

聚氯乙烯 葡萄糖5% 4 mg/ml 4°C 避光
48 小时
2285
D级

聚烯烃 NaCl 0,9% 1,6 mg/ml 2-8°C 避光
7 白天
4178
B级

聚烯烃 NaCl 0,9% 1,6 mg/ml 20-24°C 光/避光
1 白天
4178
B级

聚異戊二烯彈性體 NaCl 0,9% 0,8 & 2,4 mg/ml 2-8°C 避光
7 白天
4178
B级

聚異戊二烯彈性體 NaCl 0,9% 0,8 & 2,4 mg/ml 20-24°C 光/避光
1 白天
4178
B级

有機矽彈性體 NaCl 0,9% 0,8 mg/ml 4°C 无特殊要求
3 白天
2783
A级


  Mentions Légales