Ostatnia aktualizacja :
27/11/2025
Znieczulenie ogólne   Amobarbital sodium  
Injekcje
Trwałość roztworów Trwałość w mieszaninie Czynnik wpływający na trwałość Zgodność Sposób podania Bibliografia pdf
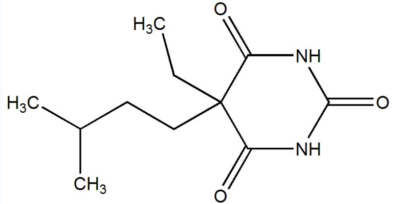
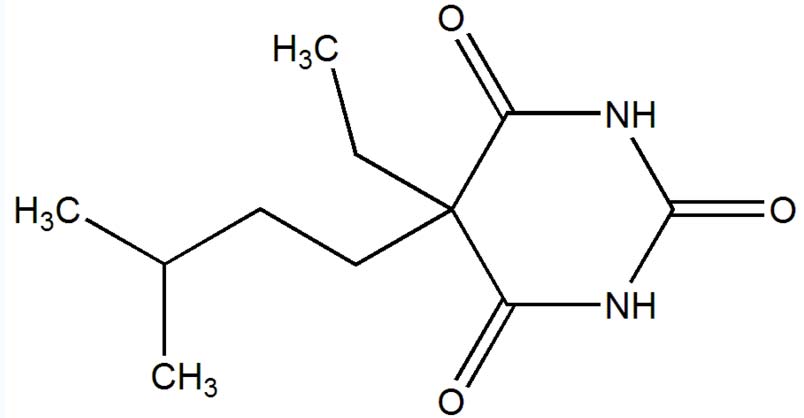
   Struktura chemiczna  

Nazwa handlowa   Nazwa handlowa     

Trade names are indicative and excipients composition can be different depending on the country and manufacturers

Amytal Sodium Stany Zjednoczone Ameryki
Trwałość w mieszaninie   Injekcje   Trwałość w mieszaninie : Amobarbital sodium     
Brak danych

  Mentions Légales