Последно актуализиране :
27/11/2025
Общ анестетик   Amobarbital sodium  
Инжекция/Инжекционен
Стабилност на разтвори Стабилност на смеси Фактори, повлияващи стабилността Съвместимост Път на въвеждане Библиография Pdf
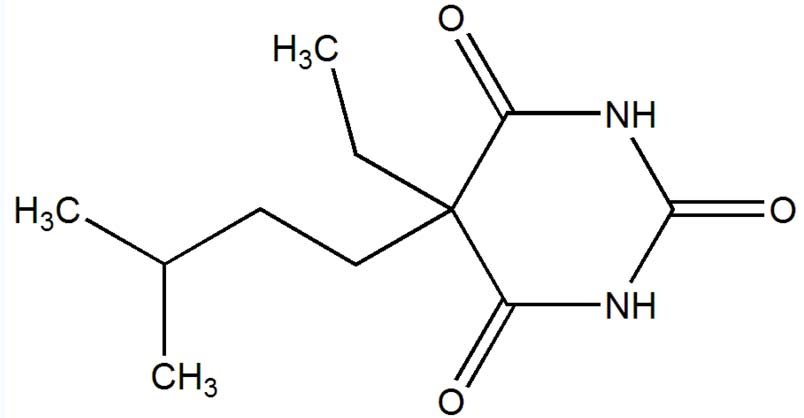
   Химична структура  

Търговско наименование   Търговско наименование     

Търговските имена са примерни и съставът на помощните вещества може да бъде различен в зависимост от държавата и лабораториите

Amytal Sodium Съединени Американски щати / САЩ
Стабилност на смеси   Инжекция/Инжекционен   Стабилност на смеси : Amobarbital sodium     
Няма данни

  Mentions Légales