Ultimele actualizari :
17/12/2025
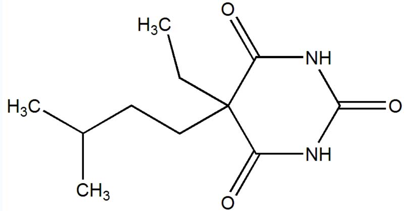
Anestezic general   Amobarbital sodium  
Injectabil
Stabilitatea in solutie Stabilitatea in amestec Factorii care influenteaza stabilitatea Compatibilitate Microunde Bibliografie pdf
   Formula chimica  

Denumirea comerciala   Denumirea comerciala     

Trade names are indicative and excipients composition can be different depending on the country and manufacturers

Amytal Sodium SUA
Stabilitatea in amestec   Injectabil   Stabilitatea in amestec : Amobarbital sodium     
Absenta de date

  Mentions Légales