Utolsó frissítés :
17/12/2025
Általános érzéstelenítő   Amobarbital sodium  
Injekció
Az oldatok stabilitása A keverékek stabilitása Stabilitást befolyásoló tényezők Kompatibilitás Az alkalmazás módja Irodalom pdf
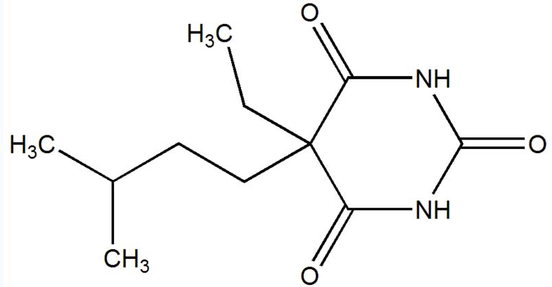
   Kémiai szerkezet   

Kereskedelmi név   Kereskedelmi név     

A kereskedelmi név meghatározó jelentőségű: a készítmények összetétele országonként, előállítóként eltérő lehet

Amytal Sodium Amerikai Egyesült Államok
A keverékek stabilitása   Injekció   A keverékek stabilitása : Amobarbital sodium     
Hiányzó adat

  Mentions Légales