Letztes “update” :
17/12/2025
Vollnarkosemittel   Amobarbital sodium  
Injektion
Stabilität der Lösung Gemengestabilität Stabilitätbeeinflussende Faktoren Kompatibilitäten Applikationsart Literaturverzeichnis pdf
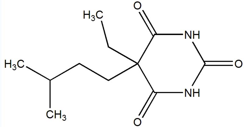
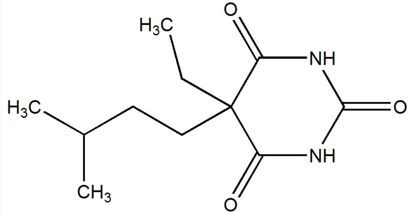
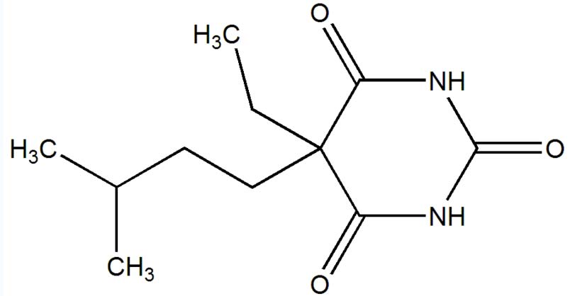
   Chemische Struktur  

Handelsmarke   Handelsmarke     

Handelsnamen sind als beispielhaft anzusehen. Sonstige Bestandteile können je nach Hersteller oder Land verschieden sein

Amytal Sodium Vereinigte Staaten von Amerika
Gemengestabilität   Injektion   Gemengestabilität : Amobarbital sodium     
Keine Daten

  Mentions Légales