Останнє оновлення :
18/03/2026
Загальний наркоз   Amobarbital sodium  
ін'єкція
Стійкість в розчинах Стійкість сумішей Фактори, що впливають на стабільність Сумісність Шлях введення Список літератури pdf
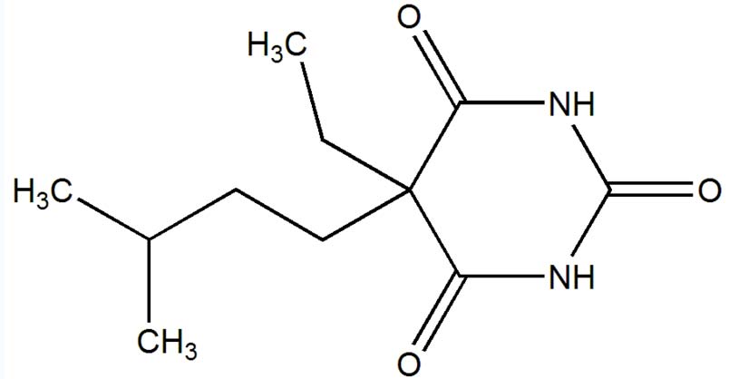
   Хімічна структура  

Торгова назва   Торгова назва     

Торгові назви є орієнтовними, а склад допоміжних речовин може бути різним залежно від країни та виробника

Amytal Sodium Сполучені Штати Америки
Шлях введення   Шлях введення :Amobarbital sodium     
Маршрут
Внутрішньовенне
Внутрішньом'язове

  Mentions Légales