Ostatnia aktualizacja :
18/03/2026
Znieczulenie ogólne   Amobarbital sodium  
Injekcje
Trwałość roztworów Trwałość w mieszaninie Czynnik wpływający na trwałość Zgodność Sposób podania Bibliografia pdf
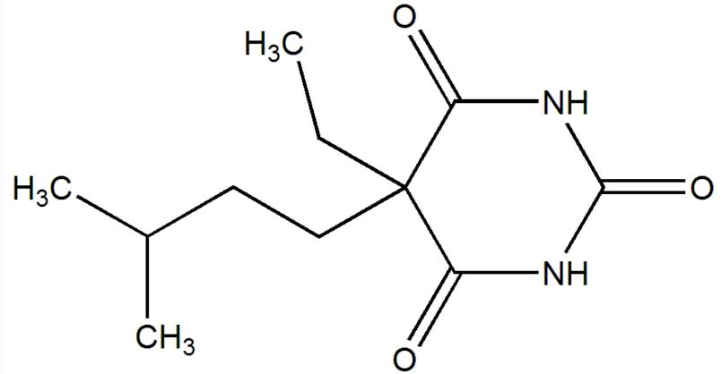
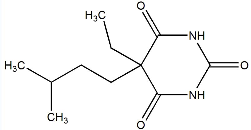
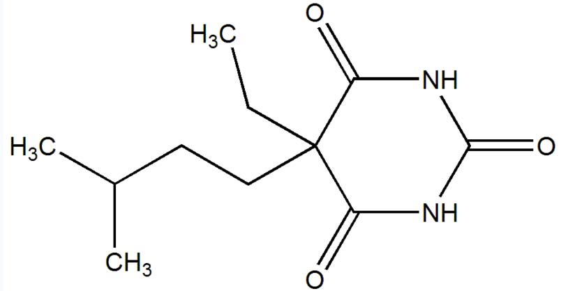
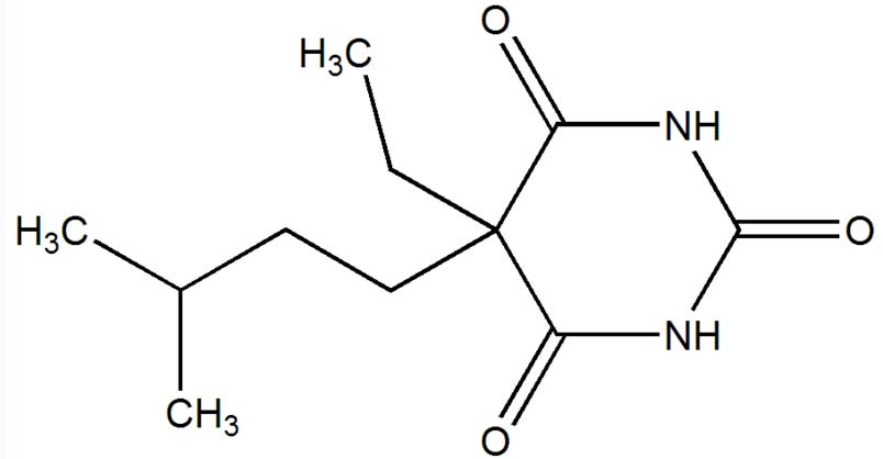
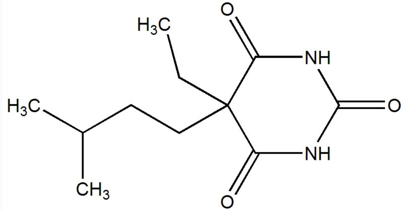
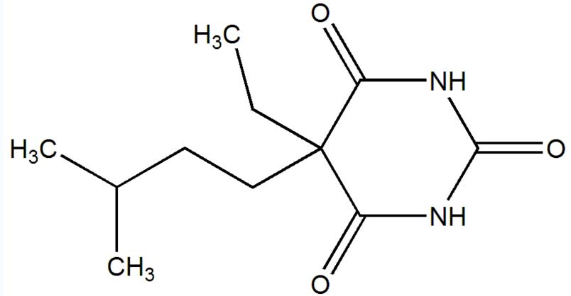
   Struktura chemiczna  

Nazwa handlowa   Nazwa handlowa     

Trade names are indicative and excipients composition can be different depending on the country and manufacturers

Amytal Sodium Stany Zjednoczone Ameryki
Sposób podania   Sposób podania :Amobarbital sodium     
Voie
Podanie dożylne
Podanie domięśniowe

  Mentions Légales