Seneste opdatering :
18/03/2026
Generel anæstesi   Amobarbital sodium  
Injektion
Stabilitet i (vandige) opløsninger Stabilitet i blandinger Faktorer der påvirker stabiliteten Kompatibilitet Administrationsvej Bibliografi pdf
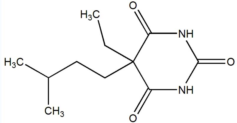
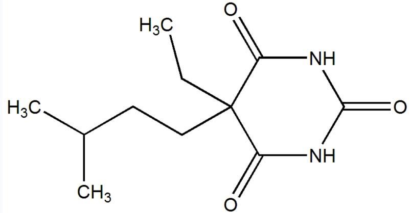
   Kemisk struktur  

Handelsnavn   Handelsnavn     

Handel navne er vejledende og hjælpestoffer sammensætning kan være forskellig afhængigt af landet og laboratorier

Amytal Sodium USA
Administrationsvej   Administrationsvej :Amobarbital sodium     
Voie
Intravenøs
Intramuskulær

  Mentions Légales