Zadnji put ažurirano :
18/03/2026
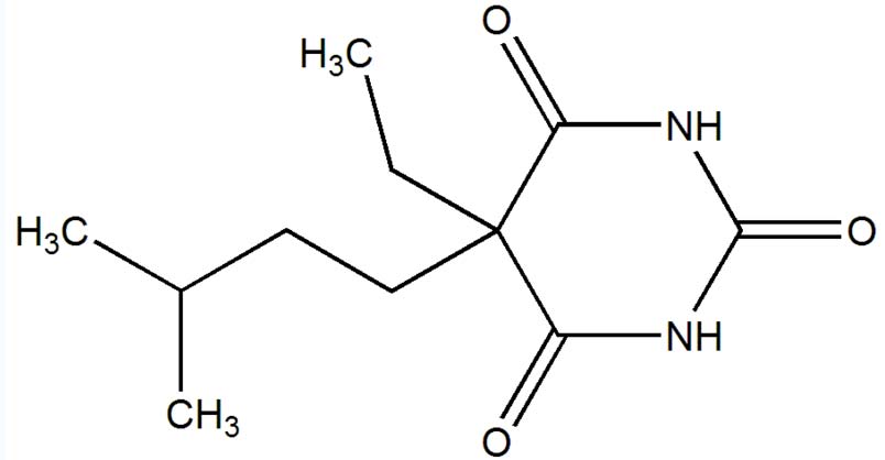
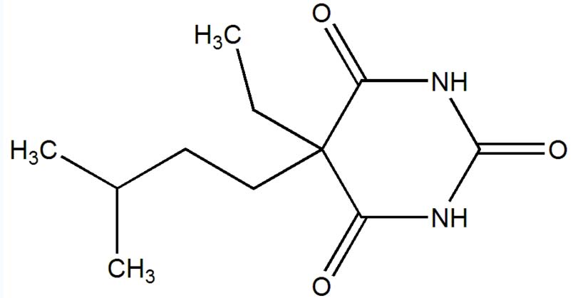
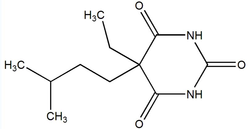
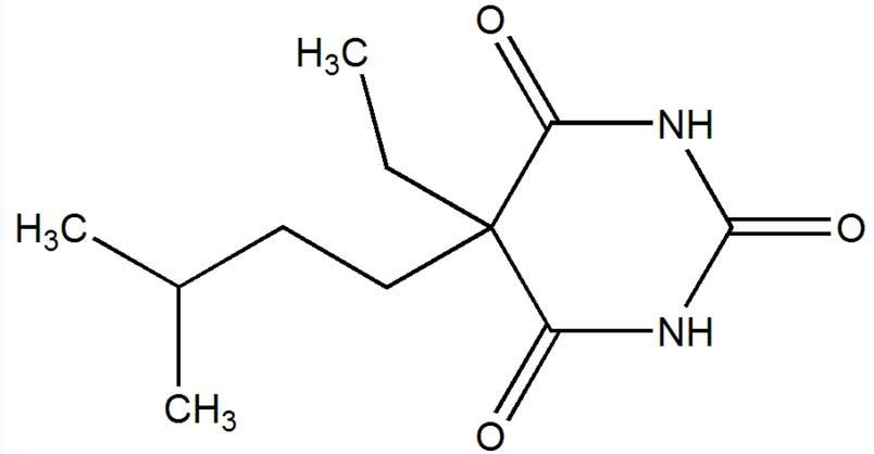
opća anestezija   Amobarbital sodium  
injekcija
Stabilizacija rješenja Stabilnost mješavine Stabilizacijski faktor Kompatibilnosti način davanja lijeka Bibliografija pdf
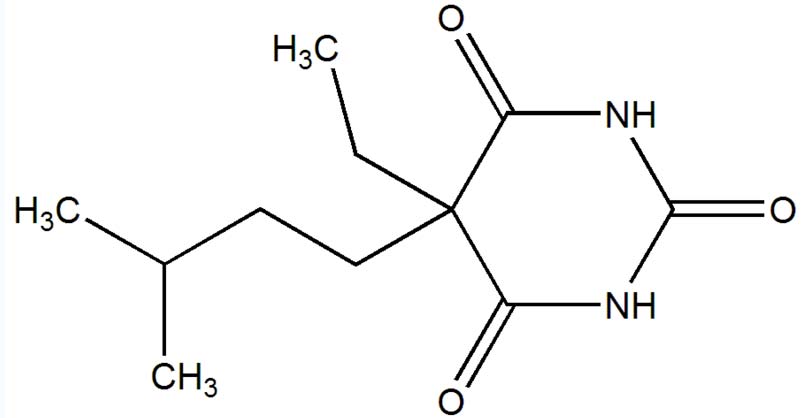
   Kemijska struktura  

Nekomercijalni   Nekomercijalni     

Zaštićeni nazivi su indikativni i sastav ekscipijensa može biti različit ovisno o državi i laboratorijima

Amytal Sodium S A D
način davanja lijeka   način davanja lijeka :Amobarbital sodium     
Voie
intravenozno
intramuskularni

  Mentions Légales