viimane versioon :
18/03/2026
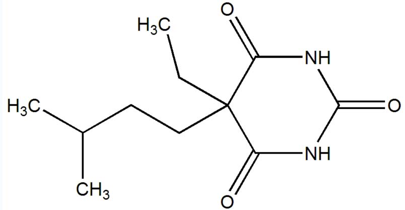
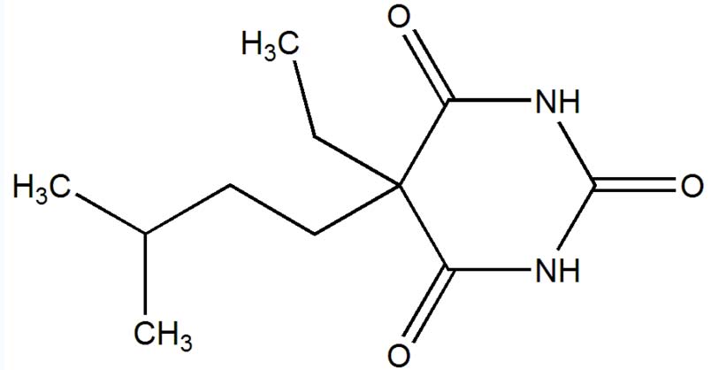
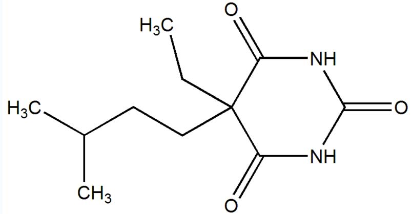
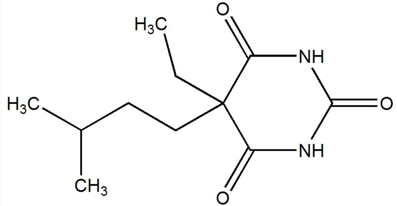
üldanesteetikum   Amobarbital sodium  
Süsteravim
Stabiilsus lahustes Stabiilsust mõjutavad tegurid stabiilsust mõjutavad faktorid Sobimatus Manustamis viis Viited pdf
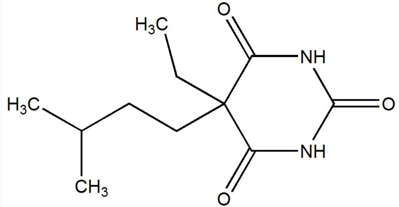
   keemiline struktuur  

Kaubanduslikud nimed erinevates maades   Kaubanduslikud nimed erinevates maades     

Preparaatide nimed on näitlikud ja abianete sisaldus võib erineda sõltuvalt riigist ja laborist

Amytal Sodium Ameerika ühendriigid
Manustamis viis   Manustamis viis :Amobarbital sodium     
Voie
intravenoosne
intramuskulaarne

  Mentions Légales