Poslední aktualizace :
18/03/2026
Centrální anestetikum   Amobarbital sodium  
injekce
Stabilita roztoků Stabilita směsí Faktory ovlivňující stabilitu Kompatibilita Způsoby aplikace Odkazy pdf
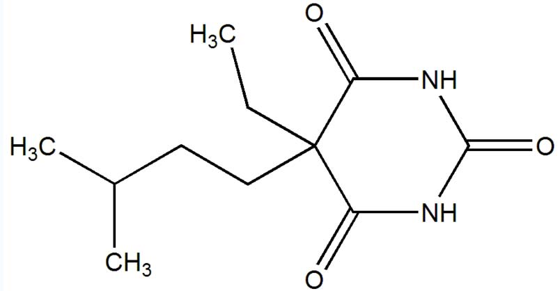
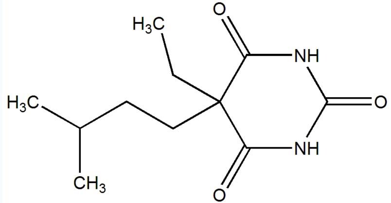
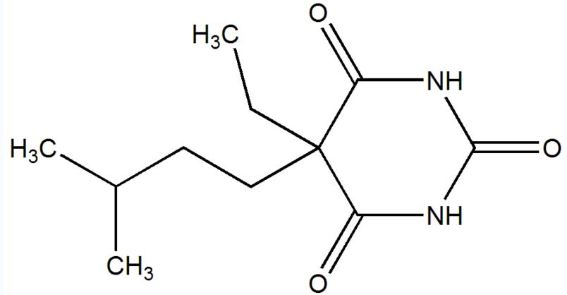
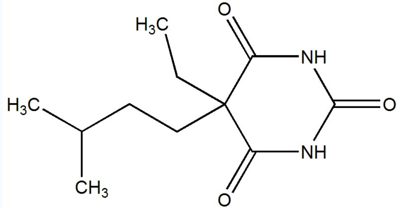
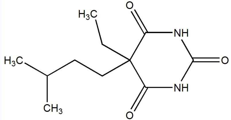
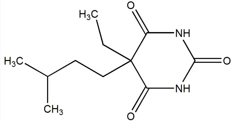
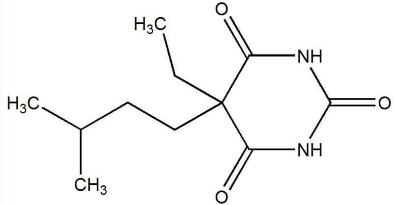
   Chemický vzorec  

Obchodní název   Obchodní název     

Trade names are indicative and excipients composition can be different depending on the country and manufacturers

Amytal Sodium USA
Způsoby aplikace   Způsoby aplikace :Amobarbital sodium     
Voie
intravenÛznÏ
intramuskulárně

  Mentions Légales