Останнє оновлення :
18/03/2026
Антибіотик   Daptomycin  
ін'єкція
Стійкість в розчинах Стійкість сумішей Фактори, що впливають на стабільність Сумісність Шлях введення Список літератури pdf
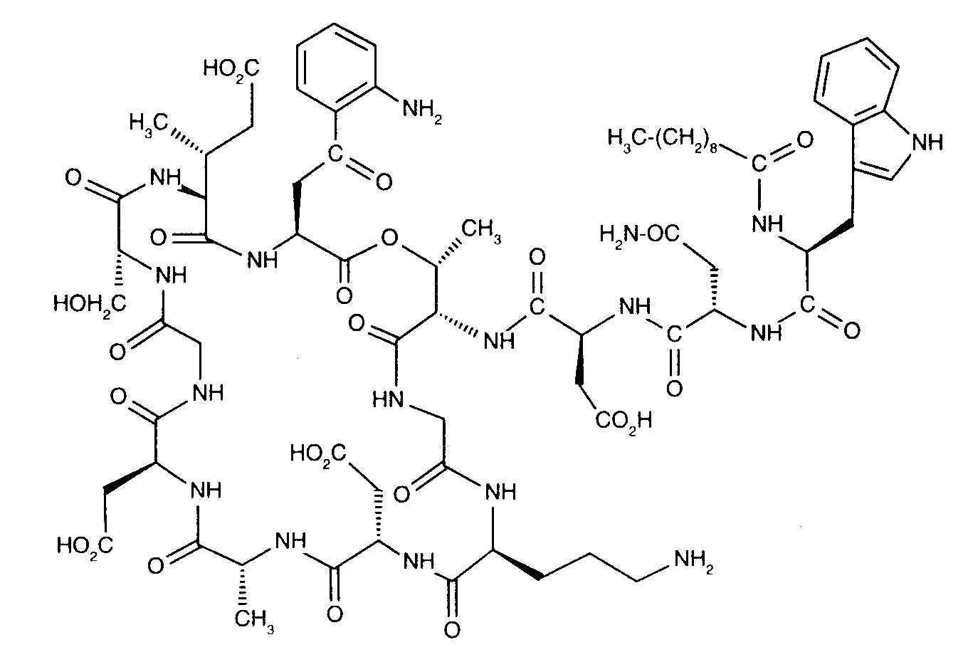
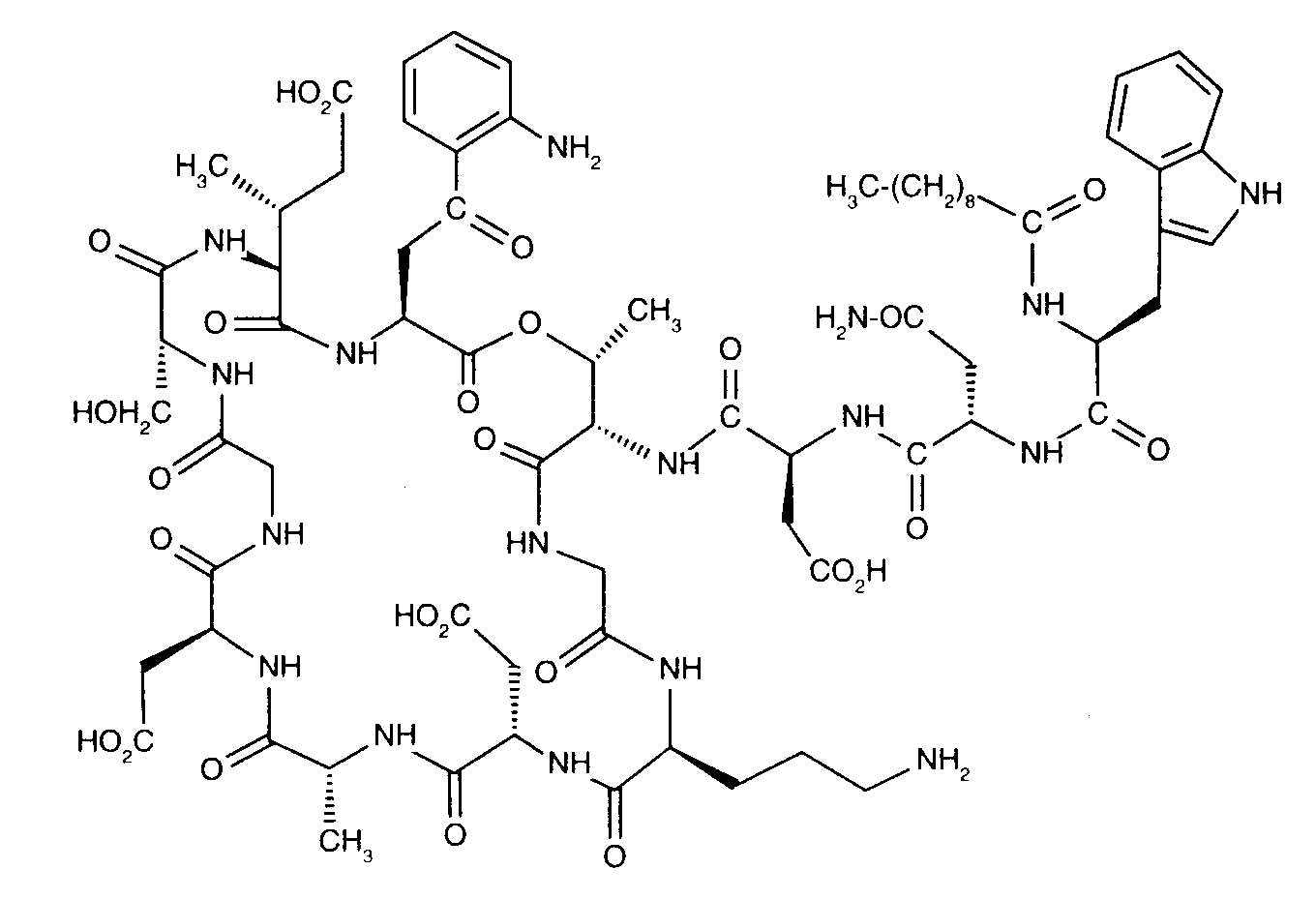
   Хімічна структура  

Торгова назва   Торгова назва     

Торгові назви є орієнтовними, а склад допоміжних речовин може бути різним залежно від країни та виробника

Cubicin Індія, Ірландія, Ісландія, Іспанія, Італія, Австрія, Австралія, Аргентина, Великобританія, Венесуела, Греція, Данія, Канада, Колумбія, Малайзія, Мексика, Нідерланди, Німеччина, Нова Зеландія, Норвегія, Польща, Португалія, Румунія, Сполучені Штати Америки, Туреччина, Угорщина, Фінляндія, Франція, Чилі, Швейцарія, Швеція, Японія
Daptomicina Іспанія, Італія, Аргентина
Daptomicine Великобританія, Німеччина, Норвегія, Угорщина, Фінляндія
Exfuno Бразилія, Чилі
Stenkivar Нігерія
Trisk Бразилія

Фактори, що впливають на стабільність   ін'єкція   Фактори, що впливають на стабільність : Daptomycin        

  Mentions Légales