Última actualización :
18/03/2026
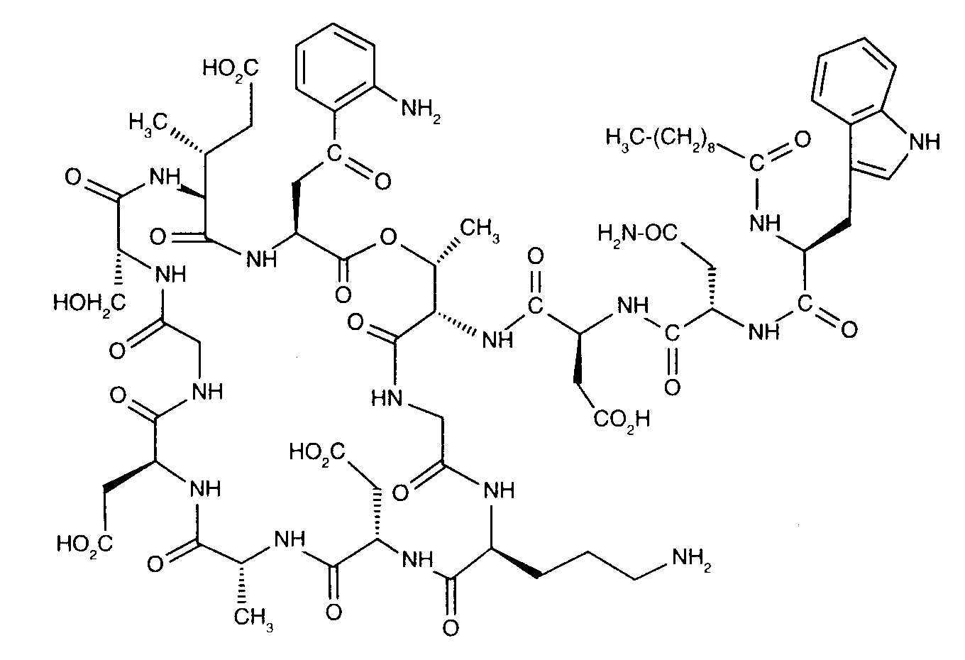
Antibiótico   Daptomycin  
Inyectables
Estabilidad en solucion Estabilidad en mezcla Factores que influyen sobre la estabilidad Compatibilidades método de inyección Bibliografía pdf
   Estructura química  

Nombre comercial   Nombre comercial     

Los nombres comerciales son orientativos y los excipientes de la formulación pueden ser distintos dependiendo del país y del laboratorio fabricante.

Cubicin Alemania, Argentina, Australia, Austria, Canadá, Chile, Colombia, Dinamarca, España, Estados Unidos de América, Finlandia, Francia, Gran Bretaña, Grecia, Hungría, India, Irlanda, Islandia, Italia, Japón, Malasia, México, Noruega, Nueva Zelanda, Países Bajos, Polonia, Portugal, Rumania, Suecia, Suiza, Turquía, Venezuela
Daptomicina Argentina, España, Italia
Daptomicine Alemania, Finlandia, Gran Bretaña, Hungría, Noruega
Exfuno Brasil, Chile
Stenkivar Nigeria
Trisk Brasil

Factores que influyen sobre la estabilidad   Inyectables   Factores que influyen sobre la estabilidad : Daptomycin        

  Mentions Légales