Ultimele actualizari :
18/03/2026
Antibiotic   Daptomycin  
Injectabil
Stabilitatea in solutie Stabilitatea in amestec Factorii care influenteaza stabilitatea Compatibilitate Microunde Bibliografie pdf
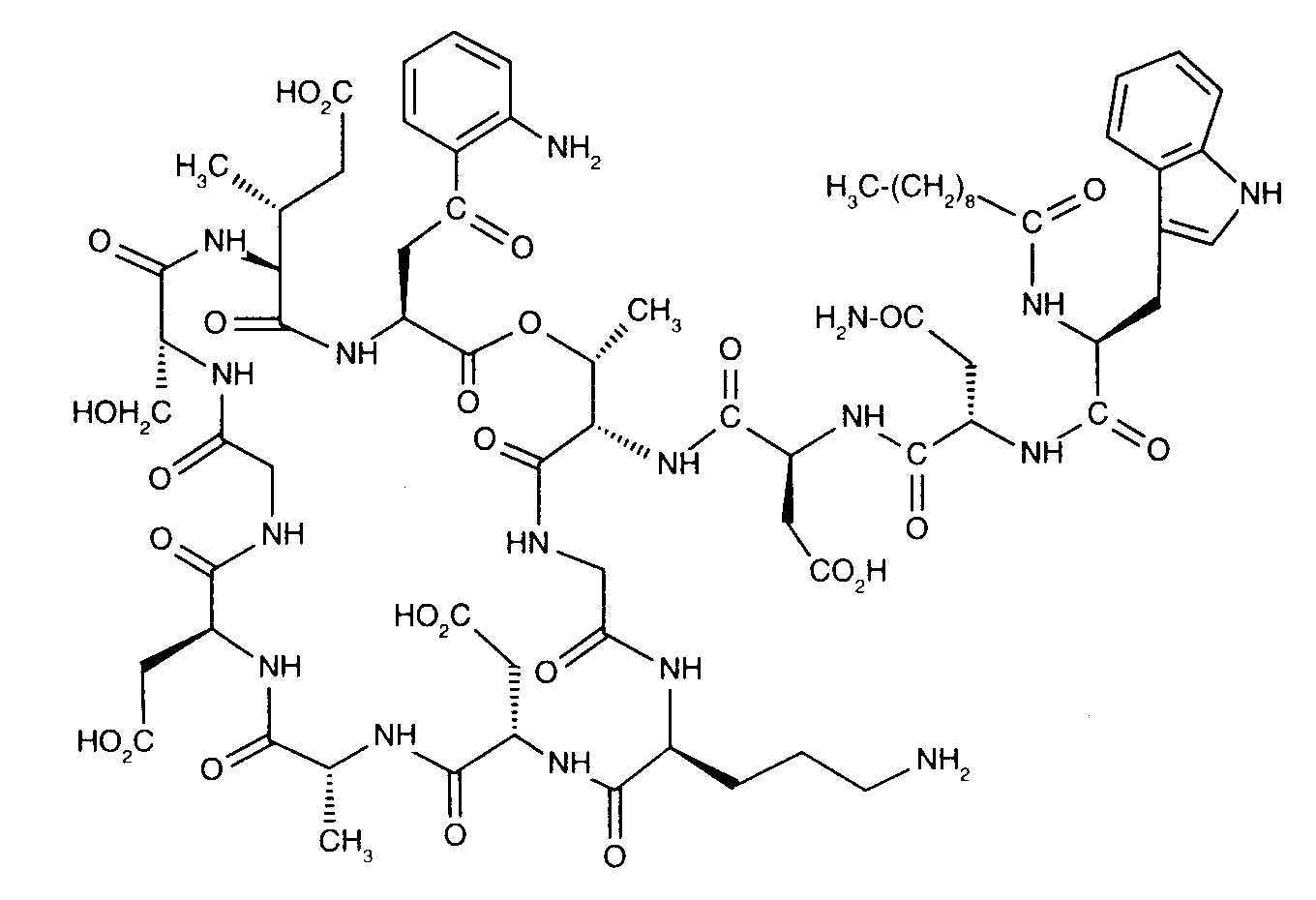
   Formula chimica  

Denumirea comerciala   Denumirea comerciala     

Trade names are indicative and excipients composition can be different depending on the country and manufacturers

Cubicin Argentina, Australia, Austria, Canada, Chilli, Columbia, Danemarca, Elvetia, Finlanda, Franta, Germania, Grecia, India, Irlanda, Islanda, Italia, Japonia, Malaezia, Marea Britanie, Mexic, Norvegia, noua Zeelandă, Olanda, Polonia, Portugalia, Romania, Spania, SUA, Suedia, Turcia, Ungaria, Venezuela
Daptomicina Argentina, Italia, Spania
Daptomicine Finlanda, Germania, Marea Britanie, Norvegia, Ungaria
Exfuno Brazilia, Chilli
Stenkivar Nigeria
Trisk Brazilia

Factorii care influenteaza stabilitatea   Injectabil   Factorii care influenteaza stabilitatea : Daptomycin        

  Mentions Légales