Poslední aktualizace :
18/03/2026
Antibiotikas   Daptomycin  
Įpurškimas
Tirpalų stabilumas Mišinių stabilumas Stabilumą lemiantys veiksniai Suderinamumas Leidimo būdai Bibliografija pdf
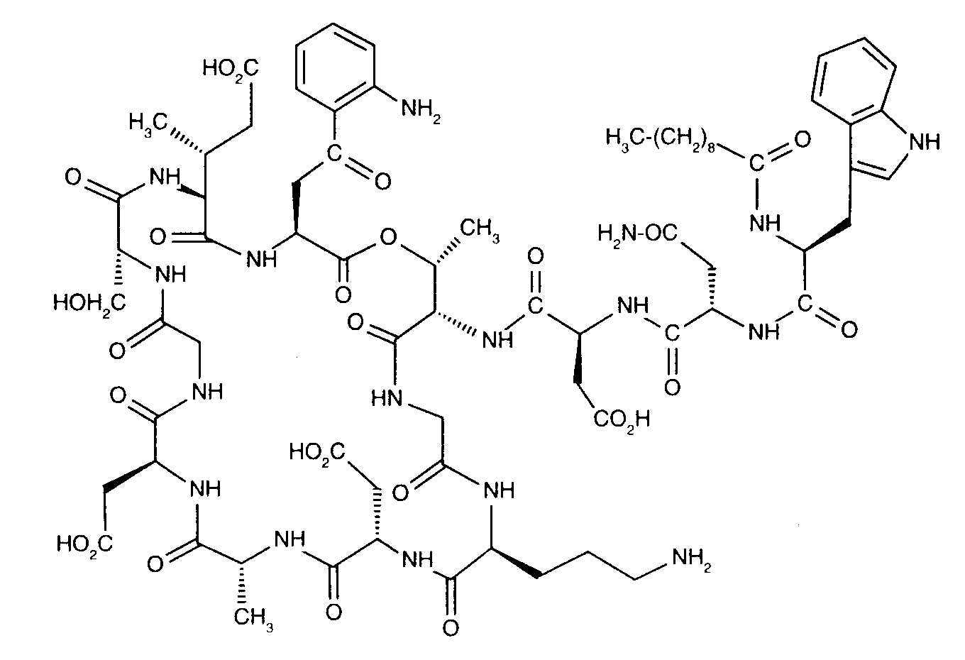
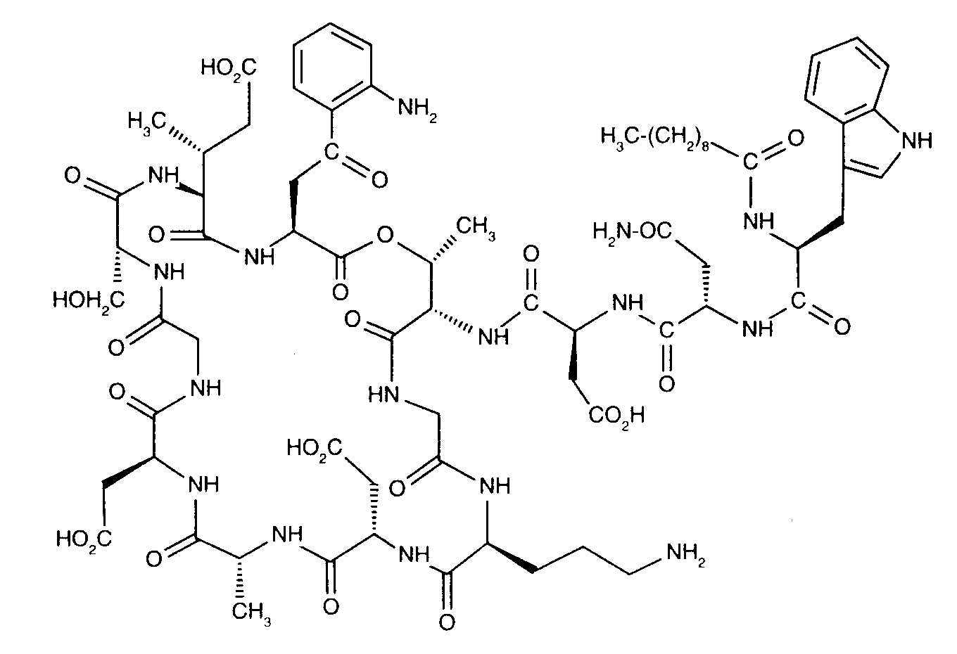
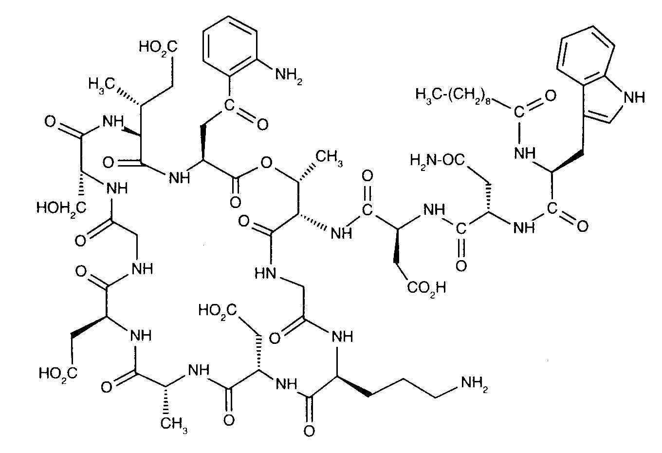
   Cheminė sandara  

Prekinis pavadinimas   Prekinis pavadinimas     

Trade names are indicative and excipients composition can be different depending on the country and manufacturers

Cubicin Airija, Argentina, Australija, Austrija, Čilė, Danija, Didžioji Britanija, Graikija, Indija, Islandija, Ispanija, Italija, Japonija, Jungtinės Amerikos Valstijos, Kanada, Kolumbija, Lenkija, Malaizija, Meksikas, Naujojoje Zelandijoje, Norvegija, Olandija, Portugalija, Prancūzija, Rumunija, Suomija, Švedija, Šveicarija, Turkija, Venesuela, Vengrija, Vokietija
Daptomicina Argentina, Ispanija, Italija
Daptomicine Didžioji Britanija, Norvegija, Suomija, Vengrija, Vokietija
Exfuno Brazilija, Čilė
Stenkivar Nigerija
Trisk Brazilija

Stabilumą lemiantys veiksniai   Įpurškimas   Stabilumą lemiantys veiksniai : Daptomycin        

  Mentions Légales