Última actualização :
18/03/2026
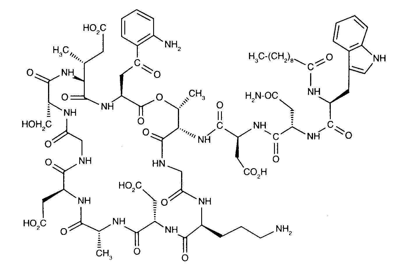
antibiótico   Daptomycin  
injetável
Estabilidade em soluções simples Estabilidade em misturas Factores que afectam a sua estabilidade Compatibilidade Método de administração Bibliografía pdf
   estrutura química  

Nomes comerciais nos diversos países   Nomes comerciais nos diversos países     

OS NOMES COMERCIAIS SÃO INDICATIVOS E OS EXCIPIENTES DA FORMULAÇÃO PODEM SER DIFERENTES CONFORME O PAÍS E FABRICANTE.

Cubicin Alemanha, Argentina, Australia, Austria, Canadá, Chilli, Colômbia, Dinamarca, Espanha, Estados Unidos de América, Finlandia, França, Gran-bretanha, Grècia, Hungria, Índia, Irlanda, Islandia, Itália, Japón, Malásia, México, Noruega, nova Zelândia, Países Baixos, Polonia, Portugal, Romènia, Suècia, Suicia, Turquia, Venezuela
Daptomicina Argentina, Espanha, Itália
Daptomicine Alemanha, Finlandia, Gran-bretanha, Hungria, Noruega
Exfuno Brasil, Chilli
Stenkivar Nigéria
Trisk Brasil

Factores que afectam a sua estabilidade   injetável   Factores que afectam a sua estabilidade : Daptomycin        

  Mentions Légales