Seneste opdatering :
18/03/2026
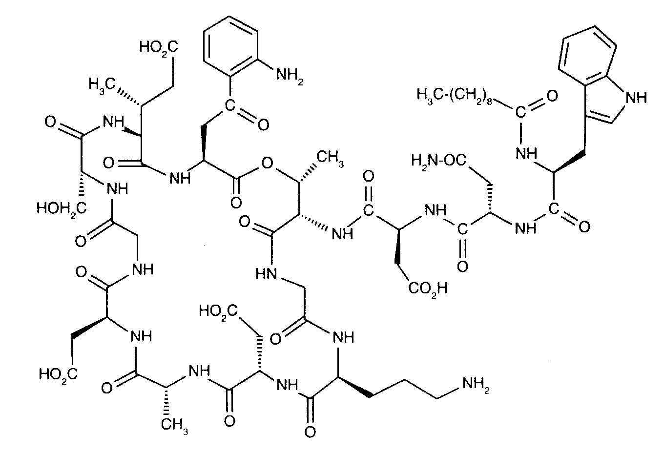
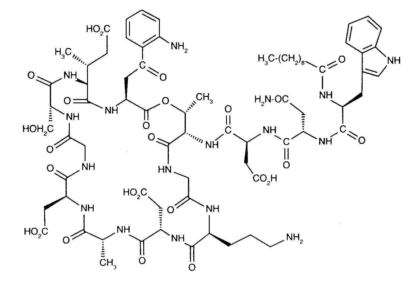
Antibiotisk   Daptomycin  
Injektion
Stabilitet i (vandige) opløsninger Stabilitet i blandinger Faktorer der påvirker stabiliteten Kompatibilitet Administrationsvej Bibliografi pdf
   Kemisk struktur  

Handelsnavn   Handelsnavn     

Handel navne er vejledende og hjælpestoffer sammensætning kan være forskellig afhængigt af landet og laboratorier

Cubicin Argentina, Australien, Canada, Chile, Colombia, Danmark, Finland, Frankrig, Grækenland, Holland, Indien, Irland, Island, Italien, Japan, Malaysia, Mexico, New Zealand, Norge, Polen, Portugal, Rumænien, Schweiz, Spanien, Storbritanien, Sverige, Tyrkiet, Tyskland, Ungarn, USA, Venezuela, Østrig
Daptomicina Argentina, Italien, Spanien
Daptomicine Finland, Norge, Storbritanien, Tyskland, Ungarn
Exfuno Brasilien, Chile
Stenkivar Nigeria
Trisk Brasilien

Faktorer der påvirker stabiliteten   Injektion   Faktorer der påvirker stabiliteten : Daptomycin        

  Mentions Légales