Utolsó frissítés :
18/03/2026
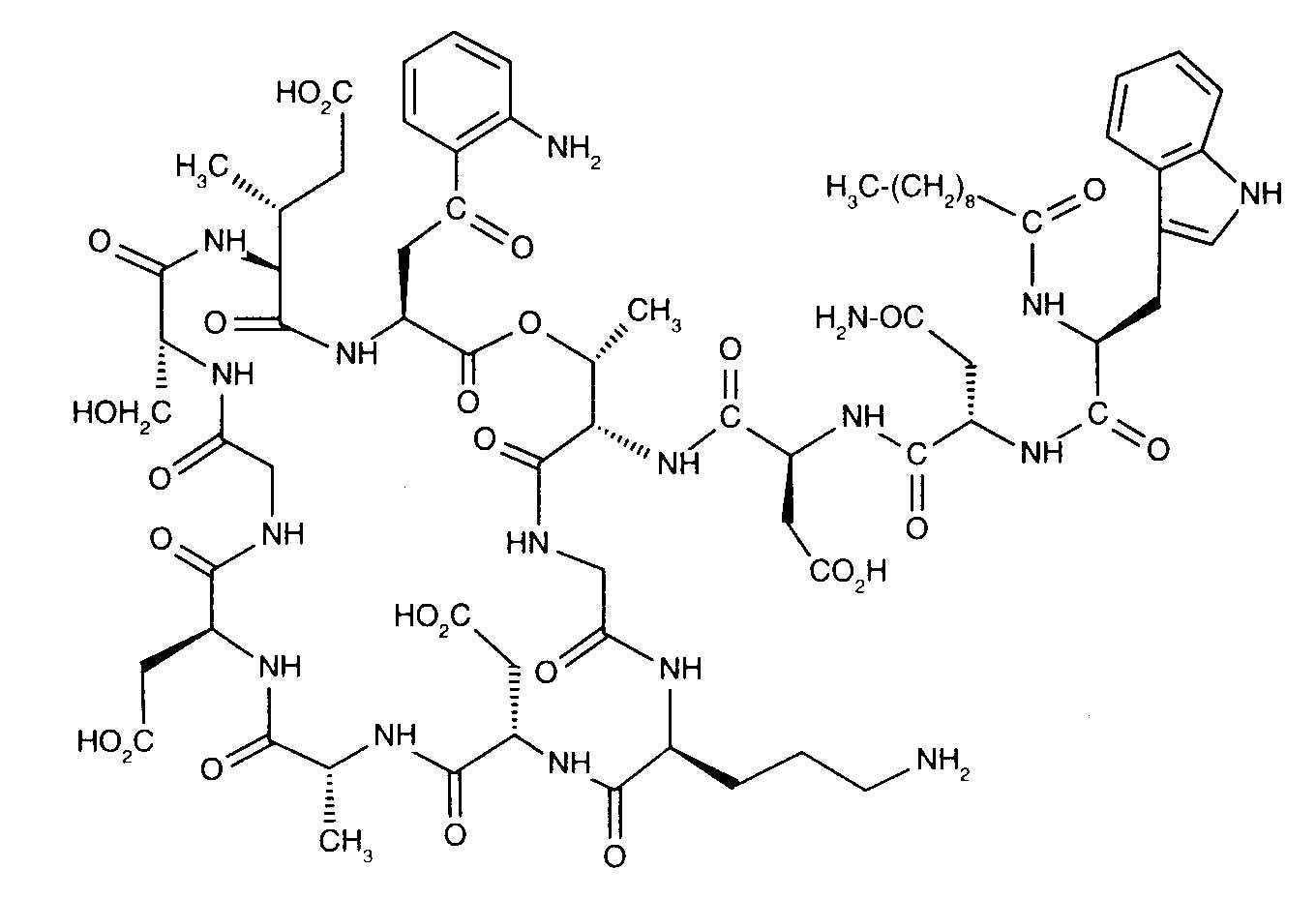
Antibiotikum   Daptomycin  
Injekció
Az oldatok stabilitása A keverékek stabilitása Stabilitást befolyásoló tényezők Kompatibilitás Az alkalmazás módja Irodalom pdf
   Kémiai szerkezet   

Kereskedelmi név   Kereskedelmi név     

A kereskedelmi név meghatározó jelentőségű: a készítmények összetétele országonként, előállítóként eltérő lehet

Cubicin Amerikai Egyesült Államok, Argentína, Ausztrália, Ausztria, Chile, Colombia, Dánia, Finnország, Franciaország, Görögország, Hollandia, India, Írország, Izland, Japán, Kanada, Lengyelország, Magyarország, Malaysia, Mexikó, Nagy-Britannia, Németország, Norvégia, Olaszország, Portugália, Románia, Spanyolország, Svájc, Svédország, Törökország, új-Zéland, Venezuela
Daptomicina Argentína, Olaszország, Spanyolország
Daptomicine Finnország, Magyarország, Nagy-Britannia, Németország, Norvégia
Exfuno Brazília, Chile
Stenkivar Nigéria
Trisk Brazília

Stabilitást befolyásoló tényezők   Injekció   Stabilitást befolyásoló tényezők : Daptomycin        

  Mentions Légales