|
|
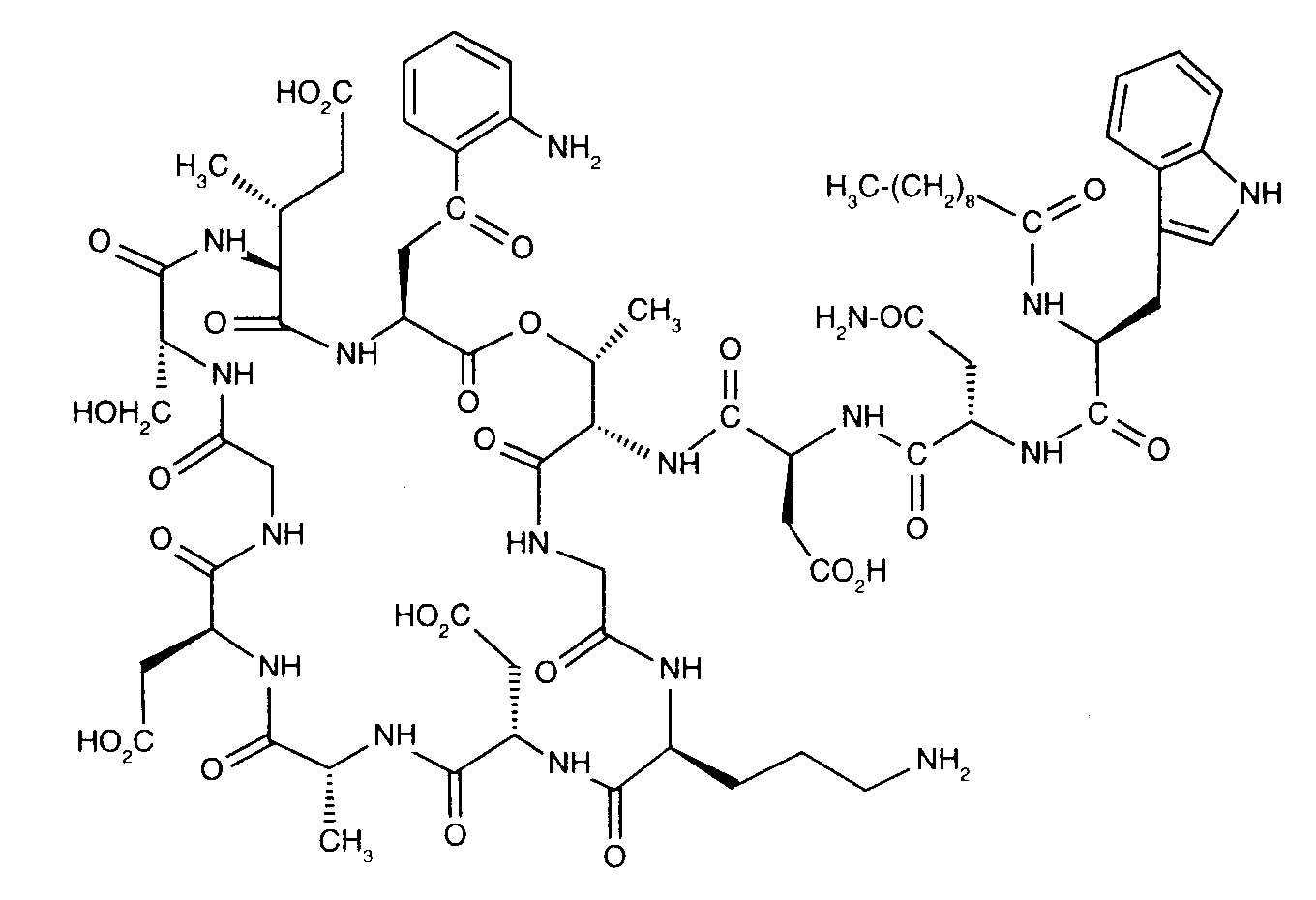
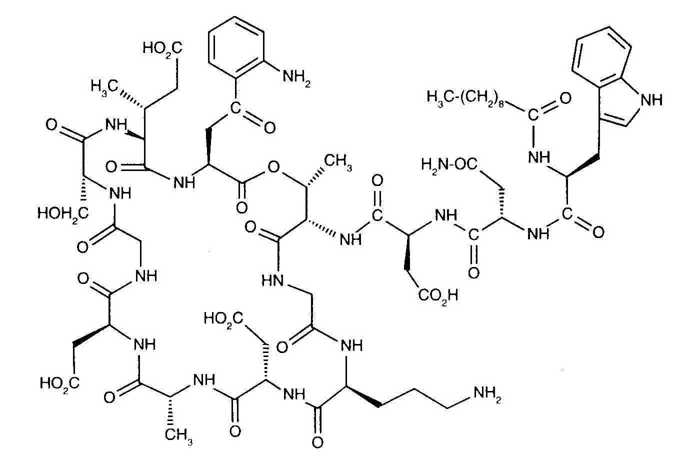
Obchodný názov |
|
|
Obchodné názvy sú orientačné, a zloženie pomocných látok sa môže líšiť v závislosti od krajiny a výrobcu.
|
|
Cubicin |
Argentína, Austrália, Čile, Dánsko, Fínsko, Francúzsko, Grécko, Holandsko, India, Írsko, Island, Japonsko, Kanada, Kolumbia, Maďarsko, Malajzia, Mexiko, Nemecko, Nórsko, nový Zéland, Poľsko, Portugalsko, Rakúsko, Rumunsko, Španielsko, Spojené štáty Americké, Švajčiarsko, Švédsko, Taliansko, Turecko, Veľká Británia, Venezuela |
|
Daptomicina |
Argentína, Španielsko, Taliansko |
|
Daptomicine |
Fínsko, Maďarsko, Nemecko, Nórsko, Veľká Británia |
|
Exfuno |
Brazília, Čile |
|
Stenkivar |
Nigéria |
|
Trisk |
Brazília |
|
|