Cập nhật lần cuối :
27/11/2025
Kháng sinh   Erythromycin lactobionate  
Dạng tiêm
Tính ổn định của các dung dịch Độ ổn định khi trộn lẫn Những yếu tố ảnh hưởng đến độ ổn định Khả năng tương thích Đường dùng Tài liệu tham khảo Pdf
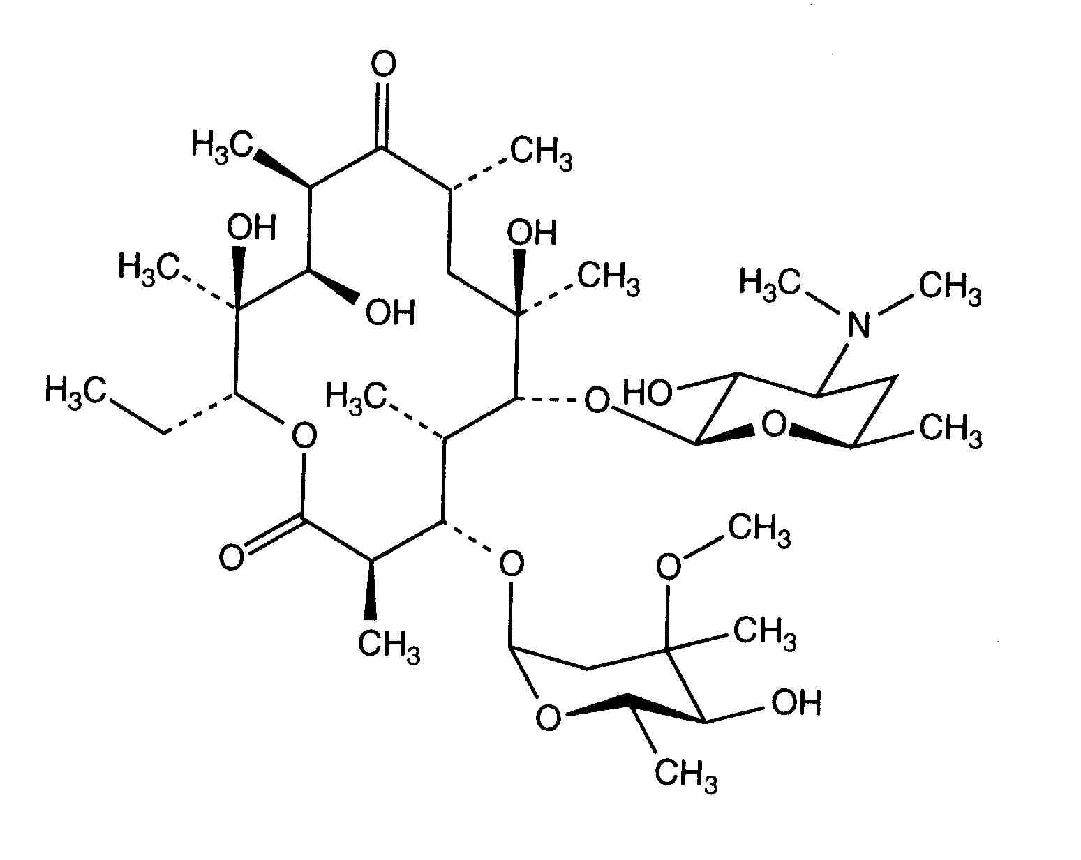
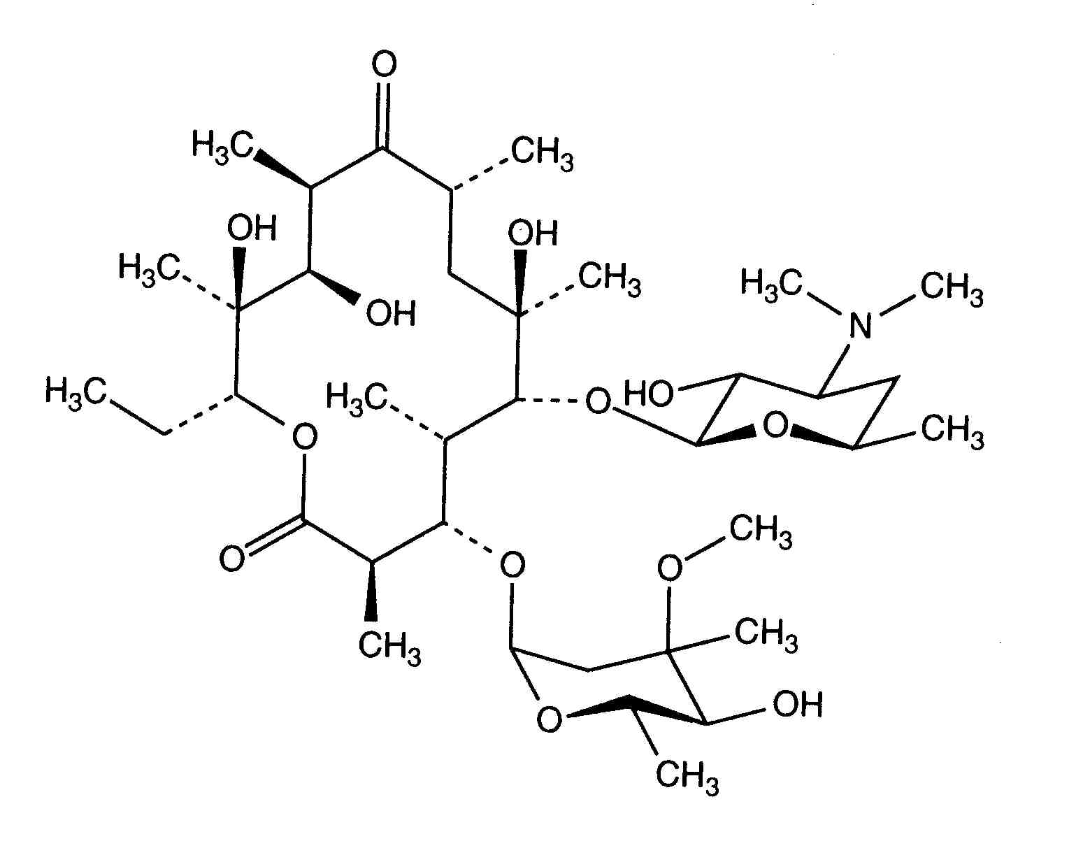
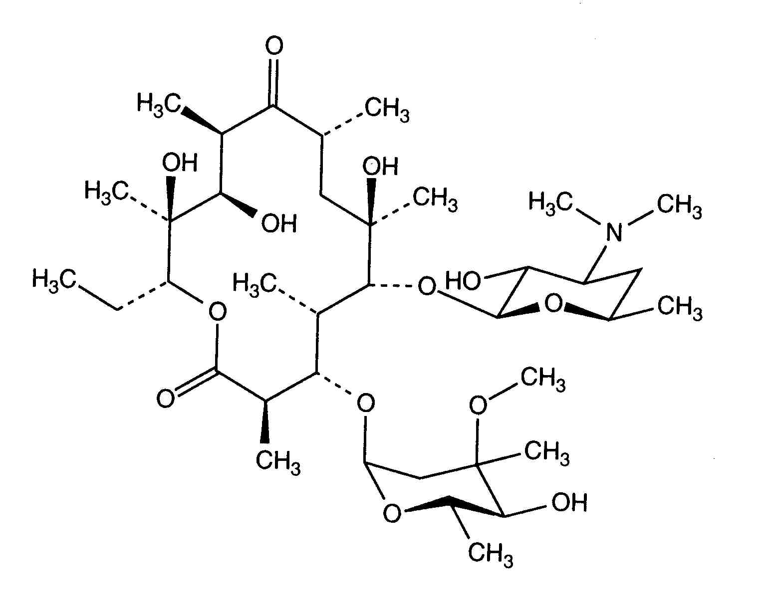
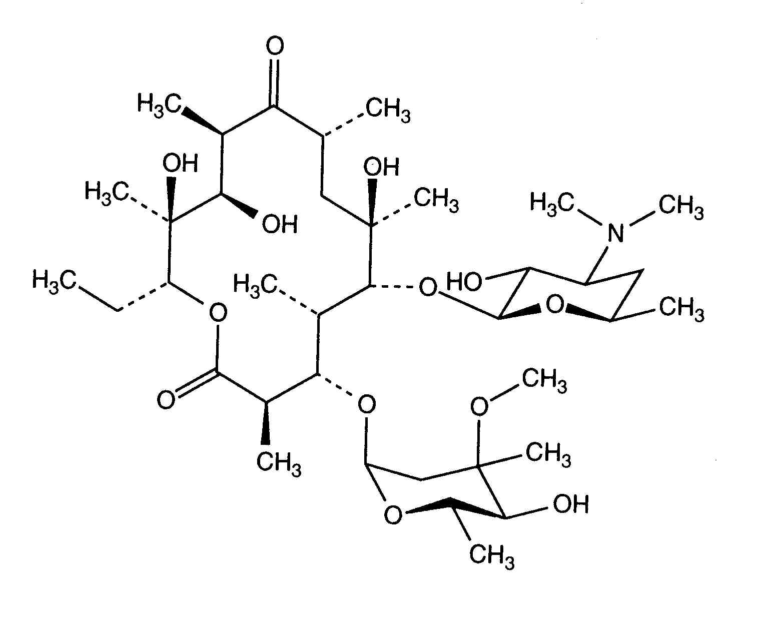
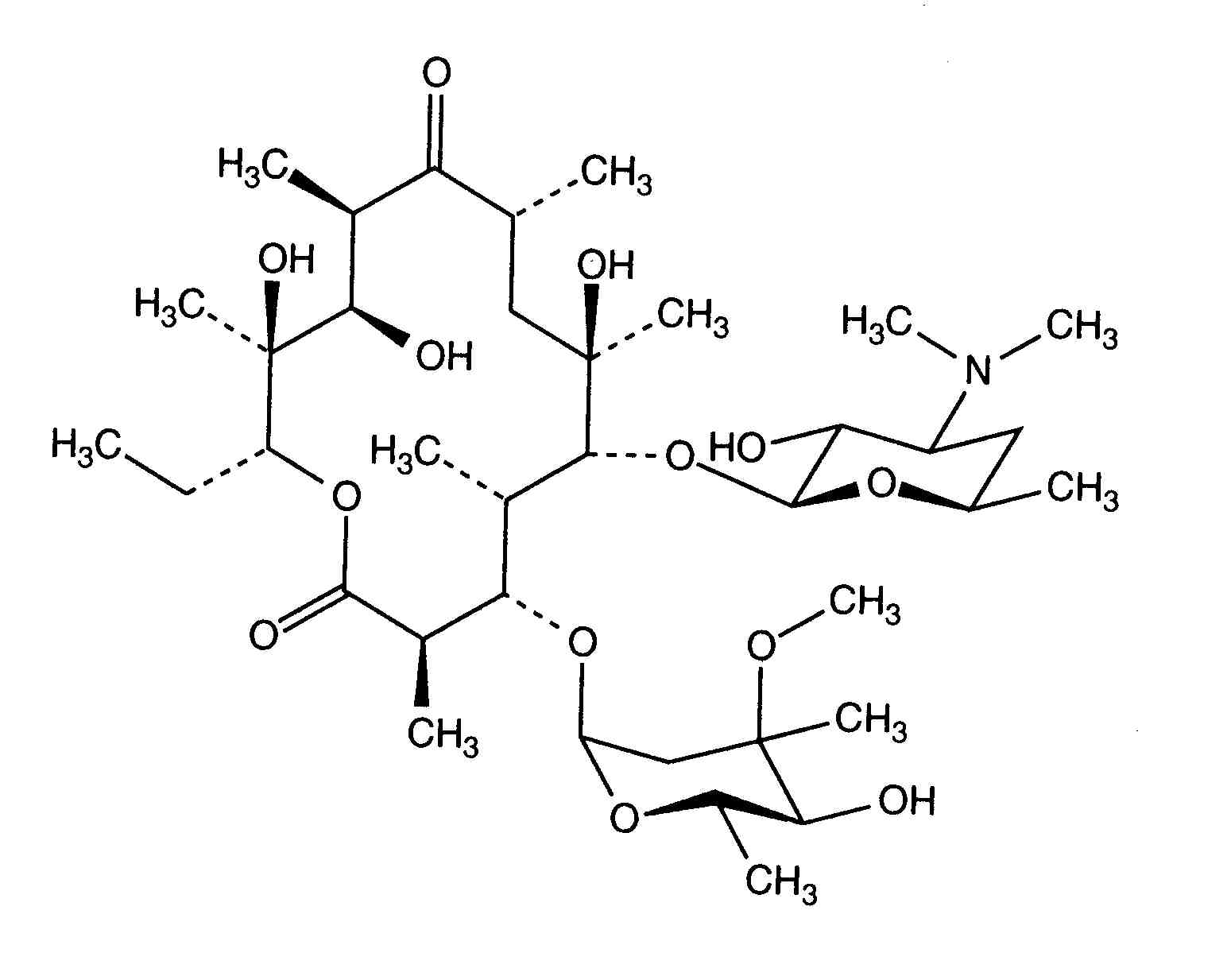
   Cấu trúc hóa học  

Tên thương mại   Tên thương mại     

Các tên thương mại được cung cấp và thành phần tá dược có thể khác nhau giữa các quốc gia và các hãng dược

Abboticin Na Uy, Phần Lan, Thụy Điển, Đan Mạch
Eristin Argentina
Erithromicina Chile
Erycinum Đức
Erythrocin Ả Rập Saudi, Anh, Áo, Canada, Hoa Kỳ, Ireland, new zealand, Úc, Đức
Erythrocin lactobionat ADD Vantage Áo, Úc
Erythrocine Bỉ, Hà Lan, Luxembourg, Pháp, Tunisia
Erythromycin Ả Rập Saudi, Anh, Hoa Kỳ, Hungary, Đức
Erythromycine Luxembourg
Erythromycinum Ba Lan
Pantomicina Chile, Tây Ban Nha
Tính ổn định của các dung dịch   Dạng tiêm   Tính ổn định của các dung dịch : Erythromycin lactobionate     
Bao bì Dung môi Nồng độ Nhiệt độ Bảo quản Thời gian ổn định Mục lục
Thủy tinh Nước cất pha tiêm 50 mg/ml 2-8°C Không rõ
24 Giờ
3674
Các dữ liệu về độ ổn định của nhà sản xuất

Nhựa polyvinyl chloride NaCl 0,9% ? mg/ml 5°C Tránh ánh sáng
60 Ngày
1154
Cấp độ bằng chứng D

Nhựa polyvinyl chloride NaCl 0,9% 10 mg/ml -20°C Tránh ánh sáng
30 Ngày
573
Phương pháp sinh học

Nhựa polyvinyl chloride NaCl 0,9% 4,54 mg/ml -20°C Tránh ánh sáng
365 Ngày
22
Cấp độ bằng chứng A+

Nhựa polyvinyl chloride Glucose 5% 10 mg/ml -20°C Tránh ánh sáng
30 Ngày
573
Phương pháp sinh học


  Mentions Légales