viimane versioon :
18/03/2026
antibiootikum   Erythromycin lactobionate  
Süsteravim
Stabiilsus lahustes Stabiilsust mõjutavad tegurid stabiilsust mõjutavad faktorid Sobimatus Manustamis viis Viited pdf
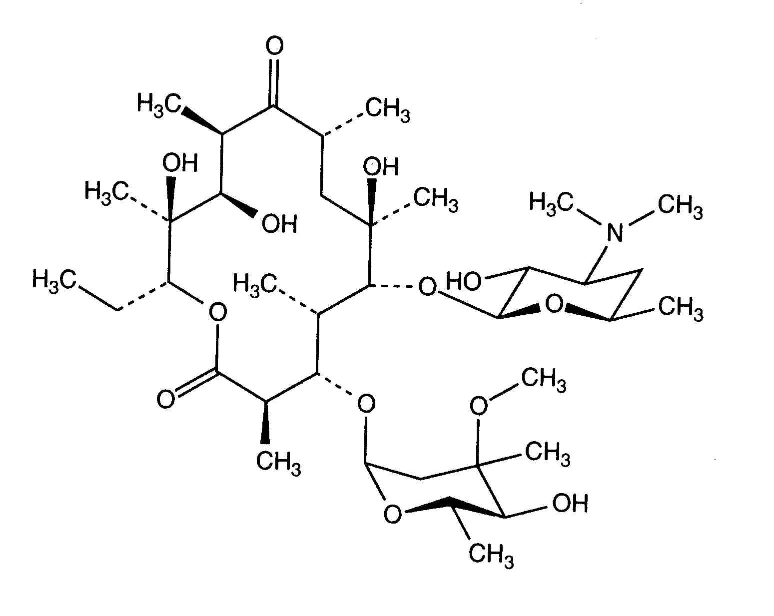
   keemiline struktuur  

Kaubanduslikud nimed erinevates maades   Kaubanduslikud nimed erinevates maades     

Preparaatide nimed on näitlikud ja abianete sisaldus võib erineda sõltuvalt riigist ja laborist

Abboticin Norra, Rootsi, Soome, Taani
Eristin Argentiina
Erithromicina Tšiili
Erycinum Saksamaa
Erythrocin Ameerika ühendriigid, Austraalia, Austria, Iirimaa, Kanada, Saksamaa, Saudi Araabia, Suurbritannia, uus-Meremaa
Erythrocin lactobionat ADD Vantage Austraalia, Austria
Erythrocine Belgia, Holland, Luksemburg, Prantsusmaa, Tuneesia
Erythromycin Ameerika ühendriigid, Saksamaa, Saudi Araabia, Suurbritannia, Ungari
Erythromycine Luksemburg
Erythromycinum Poola
Pantomicina Hispaania, Tšiili
Stabiilsus lahustes   Süsteravim   Stabiilsus lahustes : Erythromycin lactobionate     
konteiner lahusti kontsentratsioon temperatuur ladustamine Stabiilsuse kestus Viited
klaas süstevesi 50 mg/ml 2-8°C pole täpsustatud
24 Tund
3674
Tootja info stabiilsuse kohta

polüvinüülkloriid naatriumkloriid 0.9% ? mg/ml 5°C kaitsta valguse eest
60 päev
1154
Tõenduspõhisuse tase D

polüvinüülkloriid naatriumkloriid 0.9% 10 mg/ml -20°C kaitsta valguse eest
30 päev
573
Bioloogiline analüüs

polüvinüülkloriid naatriumkloriid 0.9% 4,54 mg/ml -20°C kaitsta valguse eest
365 päev
22
Tõenduspõhisuse tase A+

polüvinüülkloriid glükoos 5% 10 mg/ml -20°C kaitsta valguse eest
30 päev
573
Bioloogiline analüüs


  Mentions Légales