Posledná aktualizácia :
18/03/2026
antibiotikum   Erythromycin lactobionate  
Injekcia
Stabilita roztokov Stabilita v zmesiach Faktory ovplyvňujúce stabilitu Kompatibility spôsob podania Odkazy na literatúru PDF
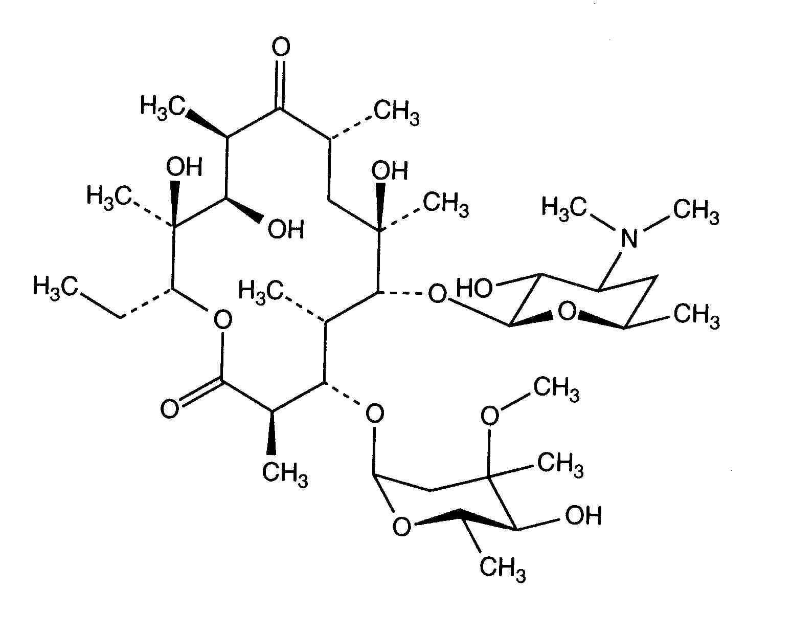
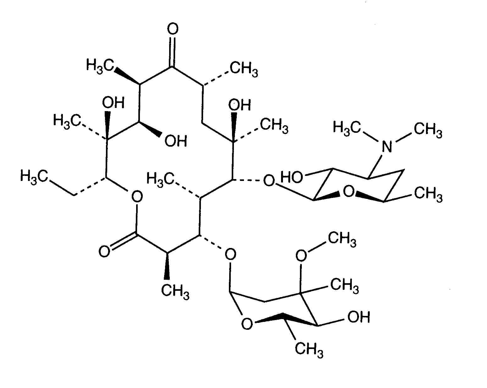
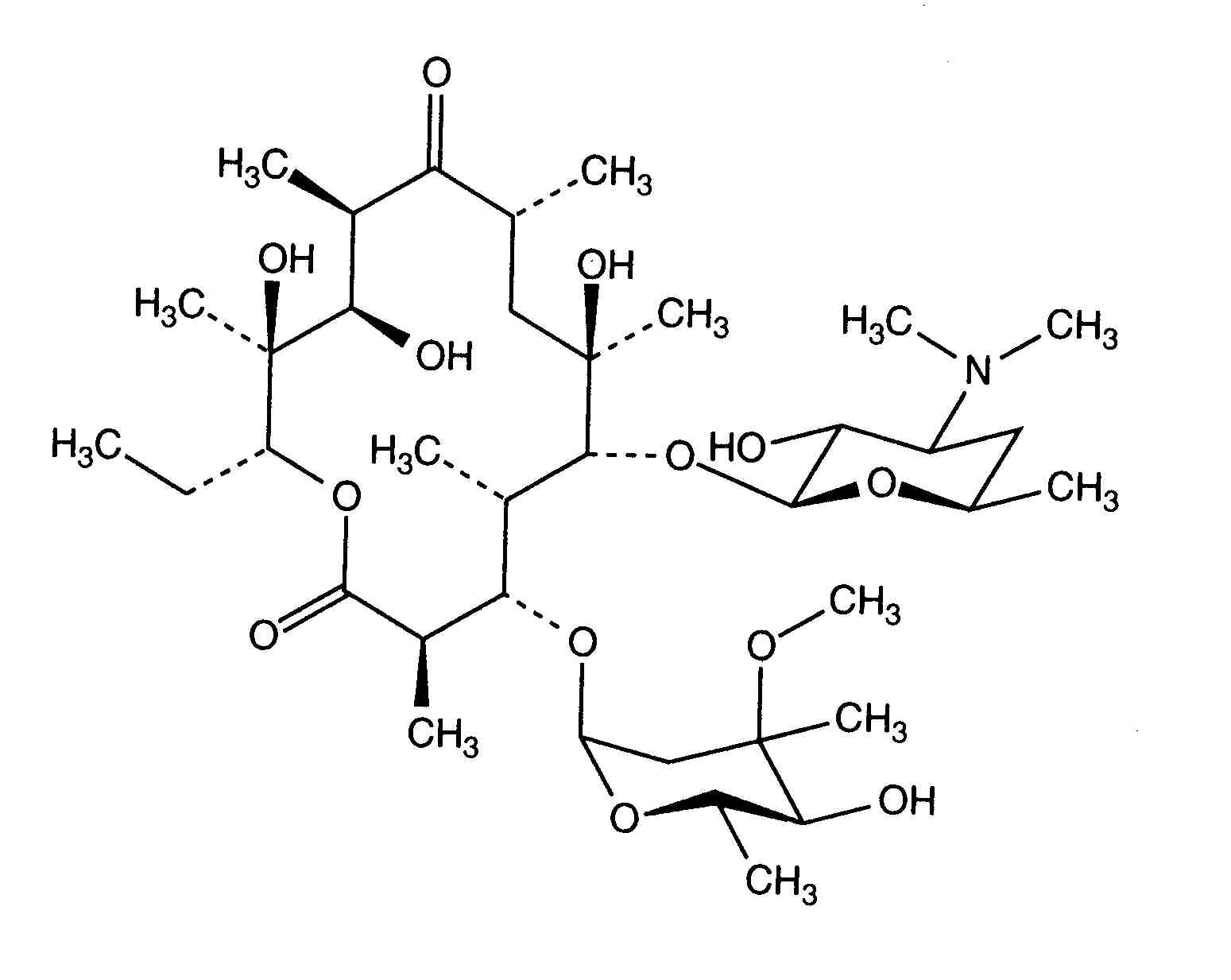
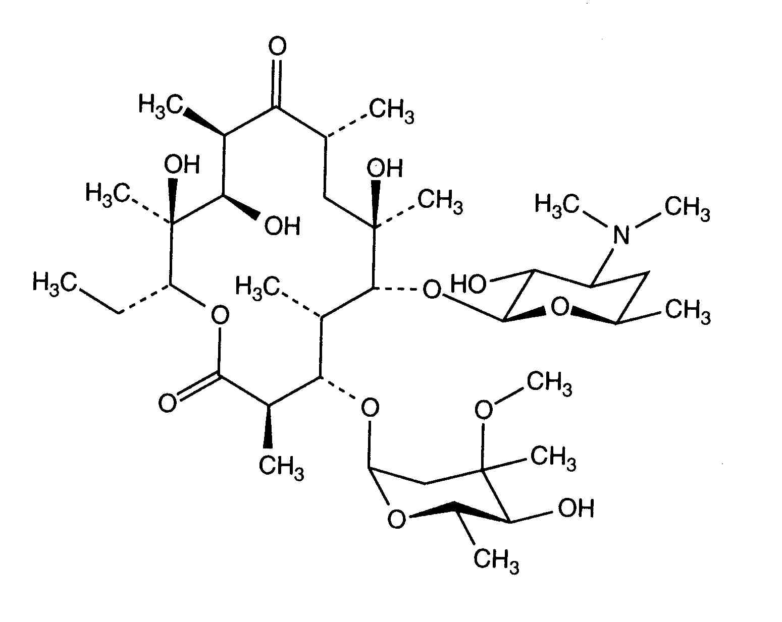
   Chemický vzorec  

Obchodný názov   Obchodný názov     

Obchodné názvy sú orientačné, a zloženie pomocných látok sa môže líšiť v závislosti od krajiny a výrobcu.

Abboticin Dánsko, Fínsko, Nórsko, Švédsko
Eristin Argentína
Erithromicina Čile
Erycinum Nemecko
Erythrocin Austrália, Írsko, Kanada, Nemecko, nový Zéland, Rakúsko, Saudská Arábia, Spojené štáty Americké, Veľká Británia
Erythrocin lactobionat ADD Vantage Austrália, Rakúsko
Erythrocine Belgicko, Francúzsko, Holandsko, Luxembursko, Tunisko
Erythromycin Maďarsko, Nemecko, Saudská Arábia, Spojené štáty Americké, Veľká Británia
Erythromycine Luxembursko
Erythromycinum Poľsko
Pantomicina Čile, Španielsko
Stabilita roztokov   Injekcia   Stabilita roztokov : Erythromycin lactobionate     
obal rozpúšťadlo koncentrácia teplota uchovávanie Trvanie stability odkazy na lieteratúru
Sklo voda na injekciu 50 mg/ml 2-8°C nešpecifikované
24 hodín
3674
Údaje o stabilite od výrobcu

polyvinylchlorid (PVC) 0,9% chlorid sodný ? mg/ml 5°C Chránené pred svetlom
60 dní
1154
Úroveň dôkazov D

polyvinylchlorid (PVC) 0,9% chlorid sodný 10 mg/ml -20°C Chránené pred svetlom
30 dní
573
biologická analýza

polyvinylchlorid (PVC) 0,9% chlorid sodný 4,54 mg/ml -20°C Chránené pred svetlom
365 dní
22
Úroveň dôkazov A+

polyvinylchlorid (PVC) 5% glukóza 10 mg/ml -20°C Chránené pred svetlom
30 dní
573
biologická analýza


  Mentions Légales