Siste oppdatering :
27/11/2025
Antibiotika   Erythromycin lactobionate  
Injeksjon
Oppløsningsstabilitet Stabilitet i blandinger Faktorer som påvirker stabiliteten Kompatibilitet Administrasjonsmåte Referanser pdf
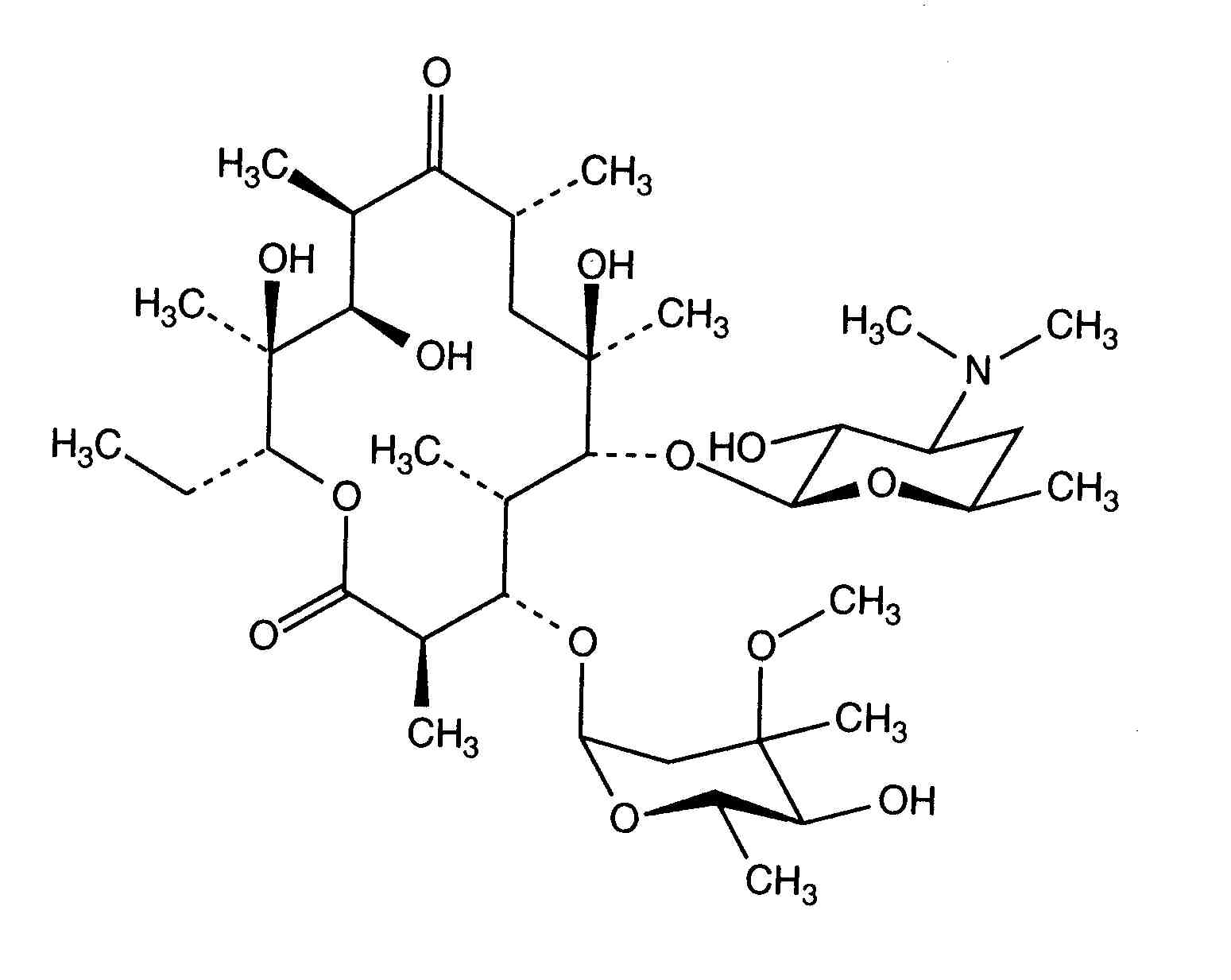
   Kjemisk struktur  

Handelsnavn   Handelsnavn     

Handelsnavn er veiledende og sammensetning av hjelpestoffer kan være forskjellig avhengig av land og produsent

Abboticin Danmark, Finland, Norge, Sverige
Eristin Argentina
Erithromicina Chile
Erycinum Tyskland
Erythrocin Australia, Canada, Irland, New Zealand, Saudi-Arabia, Storbritannia, Tyskland, USA, Østerrike
Erythrocin lactobionat ADD Vantage Australia, Østerrike
Erythrocine Belgia, Frankrike, Luxembourg, Nederland, Tunisia
Erythromycin Saudi-Arabia, Storbritannia, Tyskland, Ungarn, USA
Erythromycine Luxembourg
Erythromycinum Polen
Pantomicina Chile, Spania
Oppløsningsstabilitet   Injeksjon   Oppløsningsstabilitet : Erythromycin lactobionate     
Beholder Oppløsningsmiddel Konsentrasjon Temperatur Oppbevaring Varighet av stabilitet Referanser
Glass Vann til injeksjon 50 mg/ml 2-8°C Ikke angitt
24 Tid
3674
Stabilitetsopplysninger fra produsent

Polyvinylklorid Natriumklorid 0,9 % ? mg/ml 5°C Beskyttes mot lys
60 Dag
1154
Bevisgrad D

Polyvinylklorid Natriumklorid 0,9 % 10 mg/ml -20°C Beskyttes mot lys
30 Dag
573
Biologisk metode

Polyvinylklorid Natriumklorid 0,9 % 4,54 mg/ml -20°C Beskyttes mot lys
365 Dag
22
Bevisgrad A +

Polyvinylklorid Glukose 5 % 10 mg/ml -20°C Beskyttes mot lys
30 Dag
573
Biologisk metode


  Mentions Légales