Poslední aktualizace :
18/03/2026
Antibiotikum   Erythromycin lactobionate  
injekce
Stabilita roztoků Stabilita směsí Faktory ovlivňující stabilitu Kompatibilita Způsoby aplikace Odkazy pdf
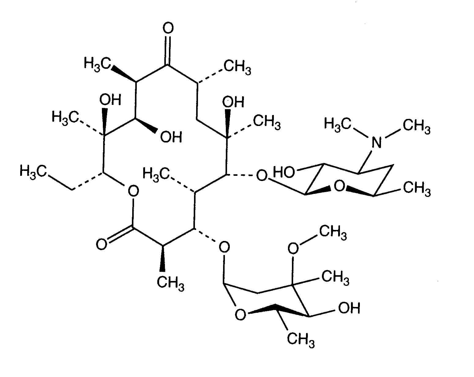
   Chemický vzorec  

Obchodní název   Obchodní název     

Trade names are indicative and excipients composition can be different depending on the country and manufacturers

Abboticin Dánsko, Finsko, Norsko, Švédsko
Eristin Argentina
Erithromicina Chile
Erycinum NÏmecko
Erythrocin Austrálie, Irsko, Kanada, NÏmecko, nový Zéland, Rakousko, Saúdská Arábie, USA, Velká Británie
Erythrocin lactobionat ADD Vantage Austrálie, Rakousko
Erythrocine Belgie, Francie, Lucembursko, Nizozemsko, Tunisko
Erythromycin MaÔarsko, NÏmecko, Saúdská Arábie, USA, Velká Británie
Erythromycine Lucembursko
Erythromycinum Polsko
Pantomicina äpanÏlsko, Chile
Stabilita roztoků   injekce   Stabilita roztoků : Erythromycin lactobionate     
Obal RozpouötÏdlo Koncentrace Teplota Uchovávání Trvání stability Odkazy
Sklo Voda pro injekci 50 mg/ml 2-8°C Nespecifikováno
24 Hodina
3674
Údaje o stabilitě od výrobce

Polyvinyl chlorid Chlorid sodný 0,9% ? mg/ml 5°C Chráněno před světlem
60 Den
1154
Úroveň zkoušky D

Polyvinyl chlorid Chlorid sodný 0,9% 10 mg/ml -20°C Chráněno před světlem
30 Den
573
Biologická metoda

Polyvinyl chlorid Chlorid sodný 0,9% 4,54 mg/ml -20°C Chráněno před světlem
365 Den
22
Úroveň zkoušky A+

Polyvinyl chlorid GlukÛza 5% 10 mg/ml -20°C Chráněno před světlem
30 Den
573
Biologická metoda


  Mentions Légales