最新更新 :
18/03/2026
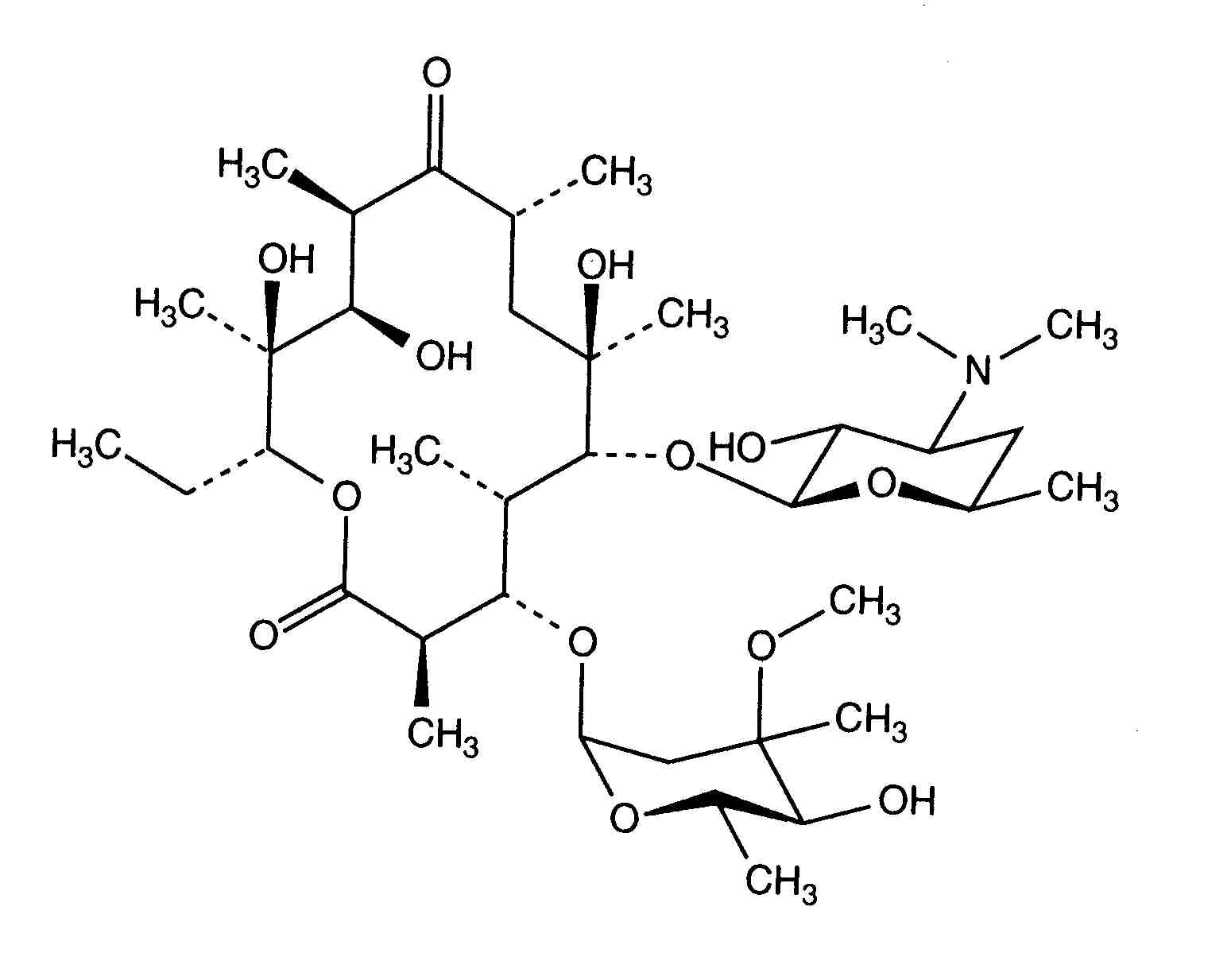
抗菌薬   Erythromycin lactobionate  
注射薬
溶媒内の安定性 混合時の安定性 安定性に影響する因子 互換性 投与経路 引用文献 PDF
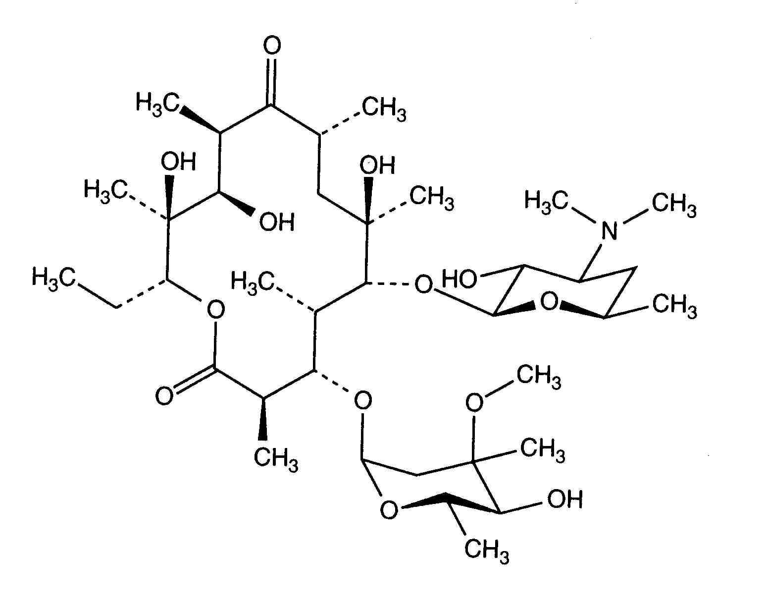
   化学構造  

商品名   商品名     

商品名、賦形剤は国、製薬会社ごとに異なることがあります

Abboticin スウェーデン, デンマーク, ノルウェー, フィンランド
Eristin アルゼンチン
Erithromicina チリ
Erycinum ドイツ
Erythrocin アイルランド, アメリカ, アーストラリア, イギリス, オーストリア, カナダ, サウジアラビア, ドイツ, ニュージーランド
Erythrocin lactobionat ADD Vantage アーストラリア, オーストリア
Erythrocine オランダ, チュニジア, フランス, ベルギー, ルクセンブルグ
Erythromycin アメリカ, イギリス, サウジアラビア, ドイツ, ハンガリー
Erythromycine ルクセンブルグ
Erythromycinum ポーランド
Pantomicina スペイン, チリ
溶媒内の安定性   注射薬   溶媒内の安定性 : Erythromycin lactobionate     
容器 溶媒 濃度 温度 保管 安定期間 引用文献
ガラス 注射用水 50 mg/ml 2-8°C 特記なし
24 時間
3674
製薬会社の安定性データ

ポリ塩化ビニル(PVC) NaCl 0,9% ? mg/ml 5°C 遮光
60 日
1154
エビデンスレベル D

ポリ塩化ビニル(PVC) NaCl 0,9% 10 mg/ml -20°C 遮光
30 日
573
生物学的分析

ポリ塩化ビニル(PVC) NaCl 0,9% 4,54 mg/ml -20°C 遮光
365 日
22
エビデンスレベル A+

ポリ塩化ビニル(PVC) グルコース5% 10 mg/ml -20°C 遮光
30 日
573
生物学的分析


  Mentions Légales