Senaste uppdateringen :
27/11/2025
Antibiotikum   Erythromycin lactobionate  
injektion
Lösningars stabilitet Stabilitet i blandningar Faktorer som påverkar stabiliteten Kompatibilitet Administreringssätt Hänvisningar pdf
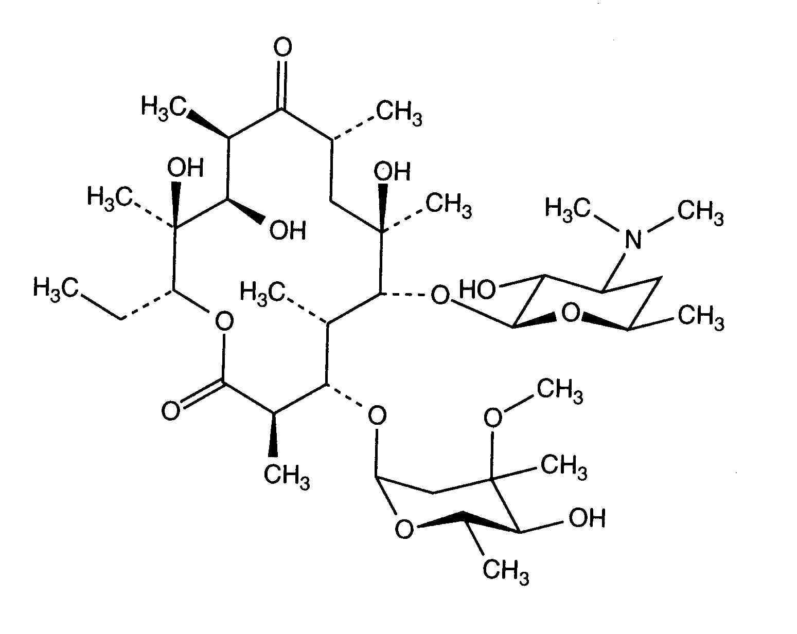
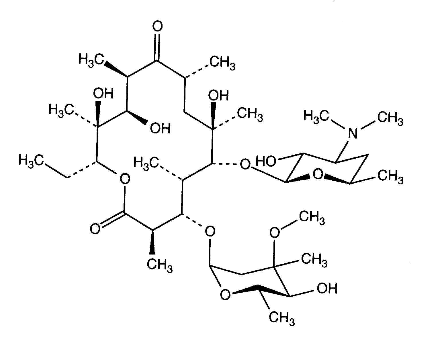
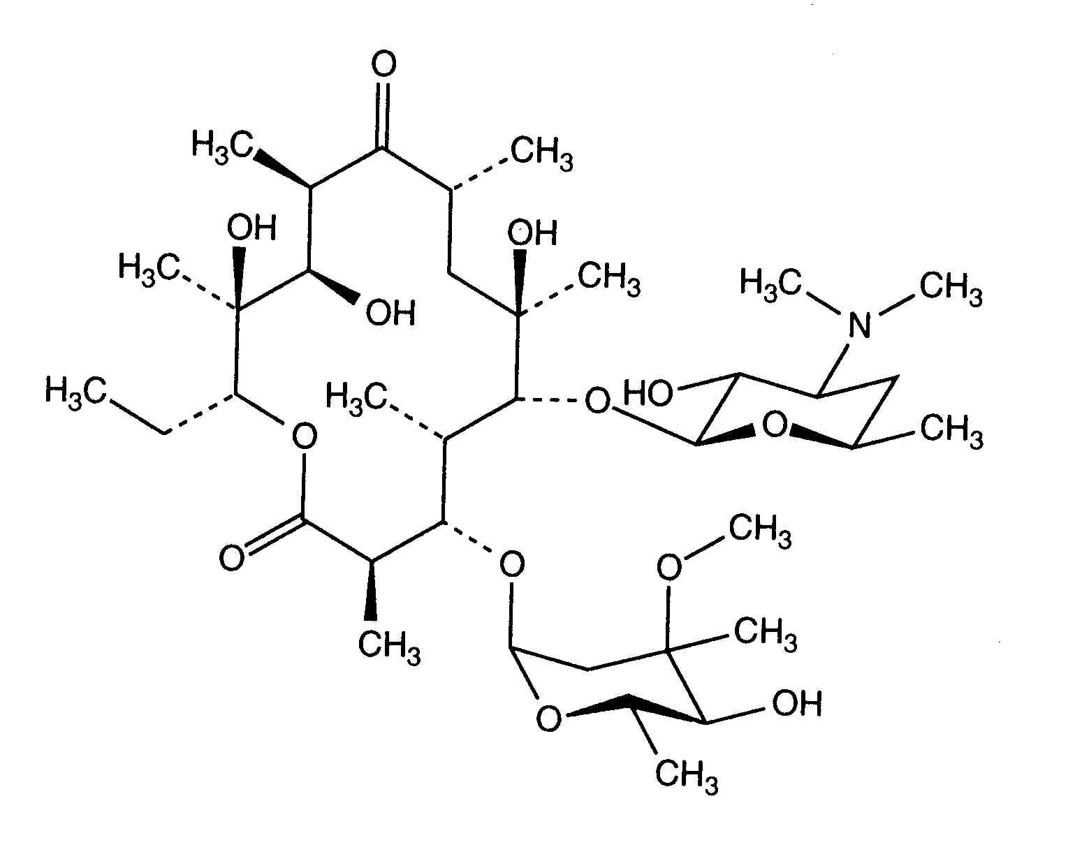
   Molekylstruktur  

Varunamn   Varunamn     

Angivna handelsnamn på läkemedel är enbart vägledande då formulering inklusive hjälpämnen kan variera mellan länder och tillverkare

Abboticin Danmark, Finland, Norge, Sverige
Eristin Argentina
Erithromicina Chile
Erycinum Tyskland
Erythrocin Australien, Förenta Staterna, Irland, Kanada, nya Zeeland, Österrike, Saudi-Arabien, Storbritannien, Tyskland
Erythrocin lactobionat ADD Vantage Australien, Österrike
Erythrocine Belgien, Frankrike, Luxemburg, Nederländerna, Tunisien
Erythromycin Förenta Staterna, Saudi-Arabien, Storbritannien, Tyskland, Ungern
Erythromycine Luxemburg
Erythromycinum Polen
Pantomicina Chile, Spanien
Hänvisningar   injektion   Hänvisningar : Erythromycin lactobionate  
Typ Publikation
20 tidningen Pluta PL, Morgan PK.
Stability of erythromycin in intravenous admixtures.
Am J Hosp Pharm 1986 ; 43: 2732,2738.
22 tidningen Sewell GJ, Palmer AJ.
The chemical and physical stability of three intravenous infusions subjected to frozen storage and microwave thawing.
Int J Pharm 1991 ; 72: 57-63.
73 tidningen Lor E, Takagi J.
Visual compatibility of foscarnet with other injectable drugs.
Am J Hosp Pharm 1990 ; 47: 157-159.
93 tidningen Hutchings SR, Rusho WJ, Tyler LS.
Compatibility of cefmetazole sodium with commonly used drugs during Y-site delivery.
Am J Health-Syst Pharm 1996 ; 53: 2185-2188.
186 tidningen Swart EL, Mooren RAG, Van Loenen AC.
Compatibility of midazolam hydrochloride and lorazepam with selected drugs during simulated Y-site administration.
Am J Health-Syst Pharm 1995 ; 52: 2020-2022.
198 tidningen Gayed AA, Kheshary PR, Hinkle RL.
Visual compatibility of diltiazem injection with various diluents and medications during simulated Y-site injection.
Am J Health-Syst Pharm 1995 ; 52: 516-520.
317 tidningen Kershaw BP, Monnier HL, Mason JH.
Visual compatibility of premixed theophylline or heparin with selected drugs for IV administration.
Am J Hosp Pharm 1993 ; 50: 1360-1362.
336 tidningen Forman JK, Lachs JR, Souney PF.
Visual compatibility of acyclovir sodium with commonly used intravenous drugs during simulated Y-site injection.
Am J Hosp Pharm 1987 ; 44: 1408-1409.
337 tidningen Bashaw ED, Amantea MA, Minor JR, Galleli JF.
Visual compatibility of zidovudine with other drugs during simulated Y-site administration.
Am J Hosp Pharm 1988 ; 45: 2532-2533.
384 tidningen Colucci RD, Cobuzzi LE, Halpern NA.
Visual compatibility of esmolol hydrochloride and various injectable drugs during simulated Y-site injection.
Am J Hosp Pharm 1988 ; 45: 630-632.
385 tidningen Benedict MK, Roche VF, Banakar UV, Hilleman DE.
Visual compatibility of amiodarone hydrochloride with various antimicrobial agents during simulated Y-site injection.
Am J Hosp Pharm 1988 ; 45: 1117-1118.
386 tidningen Colucci RD, Cobuzzi LE, Halpern NA.
Visual compatibility of labetalol hydrochloride injection with various injectable drugs during simulated Y-site injection.
Am J Hosp Pharm 1988 ; 45: 1357-1358.
397 tidningen Fong PA, Ward J.
Visual compatibility of intravenous famotidine with selected drugs.
Am J Hosp Pharm 1989 ; 46: 125-126.
405 tidningen Nieves-Cordero AL, Luciw HM, Souney PF.
Compatibility of narcotic analgesic solutions with various antibiotics during simulated Y-site injection.
Am J Hosp Pharm 1985 ; 42: 1108-1109.
479 tidningen Min DI, Brown T, HWang GC.
Visual compatibility of tacrolimus with commonly used drugs during simulated Y-site injection.
Am J Hosp Pharm 1992 ; 49: 2964-2966.
491 tidningen Turowski RC, Durthaler JM.
Visual compatibility of idarubicin hydrochloride with selected drugs during simulated Y-site injection.
Am J Hosp Pharm 1991 ; 48: 2181-2184.
496 tidningen Lor E, Sheybani T, Takagi J.
Visual compatibility of fluconazole with commonly used injectable drugs during simulated Y-site administration.
Am J Hosp Pharm 1991 ; 48: 744-746.
573 tidningen Dinel BA, Ayotte DL, Behme RJ, Black BL, Whitby JL.
Stability of antibiotic admixtures frozen in minibags.
Drug Intell Clin Pharm 1977 ; 11: 542-548.
805 tidningen Oskroba DM, Leissing NC, Trissel LA.
An automated process for determining the physical compatibility of drugs.
Hosp Pharm 1997 ; 32: 1013-1020.
939 tidningen Gilbar PJ, Groves CF.
Visual compatibility of total parenteral nutrition solution (Synthamin 17 Premix*) with selected drugs during simulated Y-site injection.
Aust J Hosp Pharm 1994 ; 24: 167-170.
999 tidningen Watson D.
Piggyback compatibility of antibiotics with pediatric parenteral nutrition solution.
JPEN 1985 ; 9: 220-224.
1047 tidningen Souney PF, Colucci RD, Mariani G, Campbell D.
Compatibility of magnesium sulfate solutions with various antibiotics during simulated Y-site injection.
Am J Hosp Pharm 1984 ; 41: 323-324.
1057 tidningen Cutie MR.
Compatibility of verapamil hydrochloride injection with commonly used additives.
Am J Hosp Pharm 1983 ; 40: 1205-1207.
1135 tidningen Baltz JK, Kennedy P, Minor JR, Gallelli J.
Visual compatibility of foscarnet with other injectable drugs during simulated Y-site administration.
Am J Hosp Pharm 1990 ; 47: 2075-2077.
1153 tidningen Allwood MC.
The influence of buffering on the stability of erythromycin injection in small-volume infusions.
Int J Pharm 1992 ; 80: R7-R9.
1154 tidningen Allwood MC.
The stability of erythromycin injection in small-volume infusions.
Int J Pharm 1990 ; 62: R1-R3.
1201 tidningen Yuhas EM, Lofton FT, Rosenberg HA, Mayron D, Baldinus JG.
Cimetidine hydrochloride compatibility III: Room temperature stability in drug admixtures.
Am J Hosp Pharm 1981 ; 38: 1919-1922.
1232 tidningen Beatson C, Taylor A.
A physical compatibility study of furosemide & flucloxacillin injections.
Br J Pharm Pract 1987 ; 9: 223-226, 236.
1315 tidningen Halpern NA, Colucci RD, Alicea M, Greenstein R.
Visual compatibility of enalaprilat with commonly used critical care medications during simulated Y-site injection.
Int J Pharm Clin Pharmacol Ther Tox 1989 ; 27: 294-297.
1490 tidningen Halpern NA, Colucci RD, Alicea M, Greenstein R.
The compatibility of nicardipine hydrochloride injection with various ICU medications during simulated Y-site injection.
Int J Pharm Clin Pharmacol Ther Tox 1989 ; 27: 250-254.
1607 tidningen Trissel LA, Zhang Y, Xu QA.
Incompatibility of erythromycin lactobionate and sulfamethoxazole/trimethoprim with linezolid injection.
Hosp Pharm 2000 ; 35: 1192-1196.
1712 tidningen Trissel LA, Saenz CA.
Compatibility screening of Precedex during simulated Y-site administration with other drugs.
Int J Pharm Compound 2002 ; 6: 230-233.
1713 tidningen Trissel LA, Saenz CA.
Compatibility screening of bivalirudin during simulated Y-site administration with other drugs.
Int J Pharm Compound 2002 ; 6: 311-315.
1721 tidningen Trissel LA, Williams KY, Baker MB.
Compatibility screening of Hextend during simulated Y-site administration with other drugs.
Int J Pharm Compound 2001 ; 5: 69-72.
1759 tidningen Servais H, Tulkens PM.
Stability and compatibility of ceftazidime administered by continuous infusion to intensive care patients.
Antimicrob Agents Chemother 2001 ; 45: 2643-2647.
1802 tidningen Bell MS, Nolt DH.
Visual compatibility of doxapram hydrochloride with drugs commonly administered via a Y-site in the intensive care nursery.
Am J Health-Syst Pharm 2003 ; 60: 193-194.
1803 tidningen Trissel, LA, Saenz CA, Ogundele OB, Ingram D, Baker MB.
Compatibility of fenoldopam mesylate with other drugs during simulated Y-site administration.
Am J Health-Syst Pharm 2003 ; 60: 80-85.
1925 tidningen Trissel LA , Williams KY, Gilbert DL.
Compatibility screening of linezolid injection during simulated Y-site administration with other drugs and infusion solutions.
J Am Pharm Assoc 2000 ; 40: 515-519.
1982 tidningen Trissel LA, Ogundele AB.
Compatibility of anidulafungin with other drugs during simulated Y-site administration.
Am J Health-Syst Pharm 2005 ; 62: 834-837.
2141 tidningen Barinian N, Chanteux H, Viaene E, Servais H, Tulkens PM.
Stability and compatibility study of cefepime in comparaison with ceftazidime for potential administration by continuous infusion under conditions pertinent to ambulatory treatment of cystic fibrosis patients and to administration in intensive care units.
J Antimicrob Chemother 2003 ; 51: 651-658.
2231 tidningen de Jongh R, Hens R, Basma V, mouton JW, Tulkens PM, Carryn S.
Continuous versus intermittent infusion of temocillin, a directed spectrum penicillin for intensive care patients with nosocomial pneumonia: stability, compatibility, population pharmacokinetic studies and breakpoint selection.
J Antimicrob Chemother 2008 ; 61, 2: 382-388.
3012 tidningen Sullivan T, Forrest J.M, Leclair G.
Compatibility of Cloxacillin Sodium with Selected Intravenous Drugs During Simulated Y-Site Administration
Hosp Pharm 2015 ; 50, 3: 214-220.
3216 tidningen Legris ME, Valiquette ME, Lavoie A, Forest JM, Leclair G.
Compatibilité physique par évaluation visuelle du salbutamol injectable lors de son administration en Y.
Pharmactuel 2011 ; 44, 1 : 14-18
3385 tidningen Raverdi V, Ampe E, Hecq JD, Tulkens PM.
Stability and compatibility of vancomycin for administration by continuous infusion.
J Antimicrob Chemother 2013 ; 68: 1179-1182.
3408 tidningen Tollec S, Touzin K, Pelletier E, Forest J.M.
Evaluation visuelle de la compatibilité physique de la naloxone avec d’autres médicaments intraveineux usuels.
Pharmactuel 2013 ; 46, 1 : 16-21.
3520 Laboratorium Cidomycin - Summary of product Chracteristics.
Sanofi 2011
3540 Laboratorium Heparin sodium - Summary of Product Characteristics.
Wockhardt 2010
3549 Laboratorium Amikacine B Braun - Résumé des caractéristiques du produit.
B Braun 2012
3560 Laboratorium Linezolid (Zyvox®) - Summary of Product Characteristics
Pharmacia 2013
3564 Laboratorium Rocuronium B Braun - Résumé des caractéristiques du produit.
B Braun 2012
3602 Laboratorium Mesna (Uromitexan®)- Summary of Product Characteristics
Baxter SAS 2013
3643 Laboratorium Gentamicin sulphate (Cidomycin®) - Summary of Product Characteristics
Sanofi 2015
3674 Laboratorium Erythromycin lactobionate - Summary of Product Characteristics
PanPharma 2016
3766 tidningen Forrest J.M, Hildgen P.
Compatibilité de l’acétylcystéine injectable lors de son administration en Y avec d’autres médicaments usuels
Pharmactuel 2014 ; 47, 3 : 161-165.
3767 tidningen Legris M.E, Lavoie A, Forrest J.M, Hildgen P.
Compatibilité par évaluation visuelle du thiopental injectable lors de son administration en Y avec des médicaments usuels.
Pharmactuel 2014 ; 47, 3 : 167-172.
3824 tidningen Boudi S, Roy H, Forest JM, Leclair G.
Compatibilité physique de l'association amoxicilline-acide clavulanique en injection avec plusieurs autres médicaments lors d'une administration en Y.
Pharmactuel 2023 2023;56,3:91-98
3964 tidningen Audet M.A, Forest E, Friciu M, Forest J.M, Leclair G.
Compatibilité du citrate de caféine injectable avec plusieurs autres médicaments.
Pharmactuel 2017 ; 50,1 : 27-33.
4319 tidningen Lessard J-J, Caron E, Schérer H, Forest J-M, Leclair G.
Compatibility of Y-site Injection of Meropenem Trihydrate With 101 Other Injectable Drugs.
Hosp Pharm 2020 ; 55, 5: 332-337.
4603 tidningen Vallée M, Barthélémy I, Friciu M, Pelletier E, Forest J.M, Benoit F, Leclair G.
Compatibility of Lactated Ringer’s Injection With 94 Selected Intravenous Drugs During Simulated Y-site Administration.
Hosp Pharm 2021 ; 56, 4: 228-234.
4742 tidningen Macoviciuc M, Nguyen C, Forest J-M, Leclair G.
Compatibilité physique de l’acétaminophène injectable avec 102 autres médicaments lors d’une administration en Y.
Pharmactuel 2022 ; 55, 4: 247-255.
5046 Laboratorium Metaraminol 10 mg/ml Solution for Injection or Infusion - Package leaflet: Information for the user.
Global Harvest Pharmaceuticals 2020
5089 Laboratorium Ascorbic Acid Injection 500mg/5ml - Summary of Product Characteristics Updated 04-Jan-2024 | Phoenix Labs
Phoenix Labs 2024

  Mentions Légales