Последнее обновление :
18/03/2026
Сосудорасширяющее средство   Alprostadil  
Инъекция
Стабильность растворов Стабильность смесей Факторы, которые влияют на стабильность Совместимость Способы введения Библиография pdf
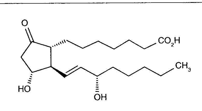
   Химическая структура  

Товарное название   Товарное название     

Trade names are indicative and excipients composition can be different depending on the country and manufacturers

Alfaprostin Египет
Alistint Мексика, Перу
Alprostadil Австралия, Аргентина, Германия, Испания, Канада, Малайзия, Перу, Румыния, Саудовская Аравия, Соединённые Штаты Америки, Турция, чили, Эквадор
Alprostapint Австрия, Аргентина, Венгрия, Колумбия, Перу, Эквадор
Alprostar Италия
Aplicav
Cardiobonisol Польша
Caverject Австрия, Бельгия, Бразилия, Великобритания, Дания, Испания, Италия, Канада, Колумбия, Норвегия, Объединенные Арабские Эмираты, Польша, Португалия, Словения, Соединённые Штаты Америки, Турция, Франция, чили, Швейцария, Швеция
Edex Греция, Соединённые Штаты Америки, Тунис, Франция
Liple Япония
Minprog Австрия, Германия
Ostapint Мексика, Перу
Palux Япония
Pridax Австрия, Германия, Испания, Румыния
Prolisina VR Аргентина
Prostandin Япония
Prostavasin Австрия, Венгрия, Германия, Египет, Иран, Италия, Люксембург, Польша
Prostin VR Бельгия, Великобритания, Венгрия, Венесуэла, Голландия, Греция, Дания, Иран, Италия, Канада, Колумбия, Люксембург, Малайзия, Норвегия, Польша, Португалия, Саудовская Аравия, Соединённые Штаты Америки, Финляндия, Хорватия, Швейцария
Prostine VR Франция
Vasaprostan Румыния
Стабильность растворов   Инъекция   Стабильность растворов : Alprostadil     
Упаковка Растворитель Концентрация Температура Хранение Продолжительность стабильности Ссылки
Стекло Натрия хлорид 0,9% 25 µg/ml 4°C Не указано
82 День
2003
Уровень доказательности B

Поливинилхлорид Натрия хлорид 0,9% 11 µg/ml 2-8°C Защищён от света
10 День
3961
Уровень доказательности D

Полипропилен Глюкоза 10% 1.5 µg/ml 28-32°C Свет
48 Час
4069
Уровень доказательности C+

Полипропилен Глюкоза 10% 15 µg/ml 28-32°C Свет
48 Час
4069
Уровень доказательности C+

Шприц полипропилен Глюкоза 10% 1,5 µg/ml 28-32°C Свет
48 Час
3761
Уровень доказательности D

Шприц полипропилен Глюкоза 10% 15 µg/ml 28-32°C Свет
48 Час
3761
Уровень доказательности D

Не указано Натрия хлорид 0,9% 10 µg/ml 2-8°C Защищён от света
15 День
2151
Уровень доказательности B


  Mentions Légales