آخر تحديث :
18/03/2026
موسع الشرايين   Alprostadil  
حقن
الاستقرار في حلول استقرار مخاليط العوامل التي تؤثر على الاستقرار التوافق طريقة التعاطي مراجع pdf
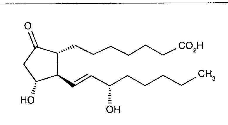
   التركيب الكيميائي  

حجز الاسم التجاري   حجز الاسم التجاري     

تحذير الأسماء التجاريه المختلفه قد تحتوي علي محتوي إضافات مختلفة حسب الدوله و المعمل

Alfaprostin مصر
Alistint المكسيك, بيرو
Alprostadil أستراليا, ألمانيا, إسبانيا, الأرجنتين, الإكوادور, العربية السعودية, الولايات المتحدة, بيرو, تركيا, تشيلي, رومانيا, كندا, ماليزيا
Alprostapint الأرجنتين, الإكوادور, النمسا, بيرو, كولومبيا, هنغاريا
Alprostar إيطاليا
Aplicav
Cardiobonisol بولندا
Caverject إسبانيا, إيطاليا, الإمارات العربية المتحدة, البرازيل, البرتغال, الدنمارك, السويد, النرويج, النمسا, الولايات المتحدة, بريطانيا العظمي, بلجيكا, بولندا, تركيا, تشيلي, سلوفينيا, سويسرا, فرنسا, كندا, كولومبيا
Edex الولايات المتحدة, تونس, فرنسا, يونان
Liple اليابان
Minprog ألمانيا, النمسا
Ostapint المكسيك, بيرو
Palux اليابان
Pridax ألمانيا, إسبانيا, النمسا, رومانيا
Prolisina VR الأرجنتين
Prostandin اليابان
Prostavasin ألمانيا, إيران, إيطاليا, النمسا, بولندا, لوكسمبورغ, مصر, هنغاريا
Prostin VR إيران, إيطاليا, البرتغال, الدنمارك, العربية السعودية, النرويج, الولايات المتحدة, بريطانيا العظمي, بلجيكا, بولندا, سويسرا, فنزويلا, فنلندا, كرواتيا, كندا, كولومبيا, لوكسمبورغ, ماليزيا, هنغاريا, هولندا, يونان
Prostine VR فرنسا
Vasaprostan رومانيا
الاستقرار في حلول   حقن   الاستقرار في حلول : Alprostadil     
حاوية مذيب تركيز درجة الحرارة تخزين مدة الاستقرار مراجع
زجاج كلوريد الصوديوم 0.9% 25 µg/ml 4°C لم يتم تحديد
82 يوم
2003
B مستوى الأدلة

البولي فينيل كلوريد كلوريد الصوديوم 0.9% 11 µg/ml 2-8°C بعيدا عن الضوء
10 يوم
3961
D مستوى الأدلة

البولي بروبلين الجلوكوز %10 1.5 µg/ml 28-32°C ضوء
48 ساعة
4069
C+ مستوى الأدلة

البولي بروبلين الجلوكوز %10 15 µg/ml 28-32°C ضوء
48 ساعة
4069
C+ مستوى الأدلة

محقنة البولي بروبلين الجلوكوز %10 1,5 µg/ml 28-32°C ضوء
48 ساعة
3761
D مستوى الأدلة

محقنة البولي بروبلين الجلوكوز %10 15 µg/ml 28-32°C ضوء
48 ساعة
3761
D مستوى الأدلة

لم يتم تحديد كلوريد الصوديوم 0.9% 10 µg/ml 2-8°C بعيدا عن الضوء
15 يوم
2151
B مستوى الأدلة


  Mentions Légales