Utolsó frissítés :
27/11/2025
Értágító   Alprostadil  
Injekció
Az oldatok stabilitása A keverékek stabilitása Stabilitást befolyásoló tényezők Kompatibilitás Az alkalmazás módja Irodalom pdf
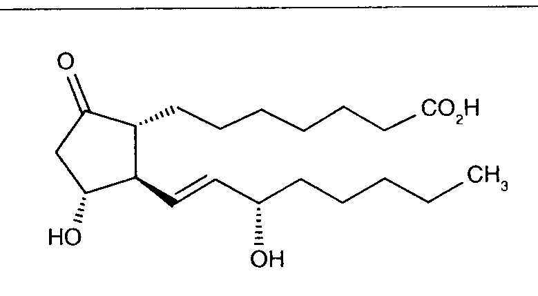
   Kémiai szerkezet   

Kereskedelmi név   Kereskedelmi név     

A kereskedelmi név meghatározó jelentőségű: a készítmények összetétele országonként, előállítóként eltérő lehet

Alfaprostin Egyiptom
Alistint Mexikó, Peru
Alprostadil Amerikai Egyesült Államok, Argentína, Ausztrália, Chile, Ecuador, Kanada, Malaysia, Németország, Peru, Románia, Spanyolország, Szaúd-Arábiában, Törökország
Alprostapint Argentína, Ausztria, Colombia, Ecuador, Magyarország, Peru
Alprostar Olaszország
Aplicav
Cardiobonisol Lengyelország
Caverject Amerikai Egyesült Államok, Ausztria, Belgium, Brazília, Chile, Colombia, Dánia, Egyesült Arab Emírségek, Franciaország, Kanada, Lengyelország, Nagy-Britannia, Norvégia, Olaszország, Portugália, Spanyolország, Svájc, Svédország, Szlovénia, Törökország
Edex Amerikai Egyesült Államok, Franciaország, Görögország, Tunézia
Liple Japán
Minprog Ausztria, Németország
Ostapint Mexikó, Peru
Palux Japán
Pridax Ausztria, Németország, Románia, Spanyolország
Prolisina VR Argentína
Prostandin Japán
Prostavasin Ausztria, Egyiptom, Irán, Lengyelország, Luxemburg, Magyarország, Németország, Olaszország
Prostin VR Amerikai Egyesült Államok, Belgium, Colombia, Dánia, Finnország, Görögország, Hollandia, Horvátország, Irán, Kanada, Lengyelország, Luxemburg, Magyarország, Malaysia, Nagy-Britannia, Norvégia, Olaszország, Portugália, Svájc, Szaúd-Arábiában, Venezuela
Prostine VR Franciaország
Vasaprostan Románia
Az oldatok stabilitása   Injekció   Az oldatok stabilitása : Alprostadil     
Csomagolás Oldószer Koncentráció Hőmérséklet Tárolás A stabilitás időtartama Irodalom
Üveg 0,9% nátrium-klorid 25 µg/ml 4°C Nincs meghatározva
82 Nap
2003
Szintű bizonyítékot B

Poli(vinilklorid) 0,9% nátrium-klorid 11 µg/ml 2-8°C Fénytől védve tartandó
10 Nap
3961
Szintű bizonyítékot D

Polipropilén 10% glükóz 1.5 µg/ml 28-32°C Fény
48 Óra
4069
Szintű bizonyítékot C+

Polipropilén 10% glükóz 15 µg/ml 28-32°C Fény
48 Óra
4069
Szintű bizonyítékot C+

fecskendő polipropilén 10% glükóz 1,5 µg/ml 28-32°C Fény
48 Óra
3761
Szintű bizonyítékot D

fecskendő polipropilén 10% glükóz 15 µg/ml 28-32°C Fény
48 Óra
3761
Szintű bizonyítékot D

Nincs meghatározva 0,9% nátrium-klorid 10 µg/ml 2-8°C Fénytől védve tartandó
15 Nap
2151
Szintű bizonyítékot B


  Mentions Légales