最新更新 :
18/03/2026
血管拡張薬   Alprostadil  
注射薬
溶媒内の安定性 混合時の安定性 安定性に影響する因子 互換性 投与経路 引用文献 PDF
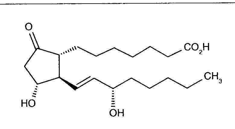
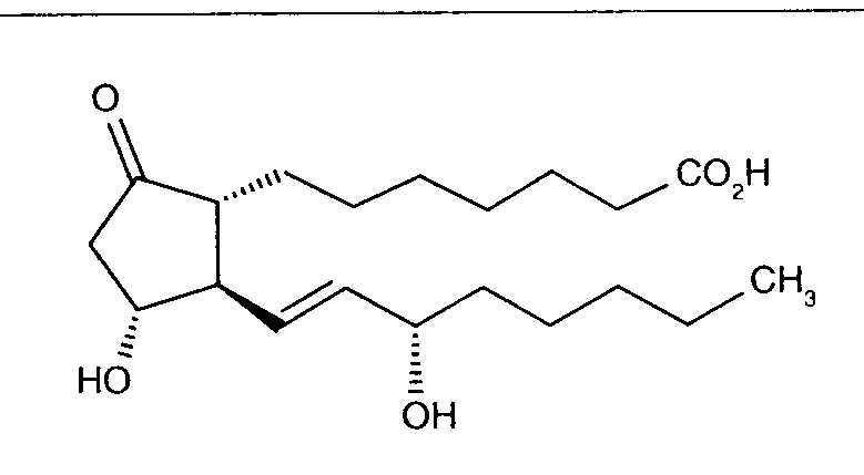
   化学構造  

商品名   商品名     

商品名、賦形剤は国、製薬会社ごとに異なることがあります

Alfaprostin エジプト
Alistint ペルー, メキシコ
Alprostadil アメリカ, アルゼンチン, アーストラリア, エクアドル, カナダ, サウジアラビア, スペイン, チリ, トルコ, ドイツ, ペルー, マレーシア, ルーマニア
Alprostapint アルゼンチン, エクアドル, オーストリア, コロンビア, ハンガリー, ペルー
Alprostar イタリア
Aplicav
Cardiobonisol ポーランド
Caverject アメリカ, アラブ首長国連邦, イギリス, イタリア, オーストリア, カナダ, コロンビア, スイス, スウェーデン, スペイン, スロベニア, チリ, デンマーク, トルコ, ノルウェー, フランス, ブラジル, ベルギー, ポルトガル, ポーランド
Edex アメリカ, ギリシア, チュニジア, フランス
Liple 日本
Minprog オーストリア, ドイツ
Ostapint ペルー, メキシコ
Palux 日本
Pridax オーストリア, スペイン, ドイツ, ルーマニア
Prolisina VR アルゼンチン
Prostandin 日本
Prostavasin イタリア, イラン, エジプト, オーストリア, ドイツ, ハンガリー, ポーランド, ルクセンブルグ
Prostin VR アメリカ, イギリス, イタリア, イラン, オランダ, カナダ, ギリシア, クロアチア, コロンビア, サウジアラビア, スイス, デンマーク, ノルウェー, ハンガリー, フィンランド, ベネズエラ, ベルギー, ポルトガル, ポーランド, マレーシア, ルクセンブルグ
Prostine VR フランス
Vasaprostan ルーマニア
溶媒内の安定性   注射薬   溶媒内の安定性 : Alprostadil     
容器 溶媒 濃度 温度 保管 安定期間 引用文献
ガラス NaCl 0,9% 25 µg/ml 4°C 特記なし
82 日
2003
エビデンスレベル B

ポリ塩化ビニル(PVC) NaCl 0,9% 11 µg/ml 2-8°C 遮光
10 日
3961
エビデンスレベル D

ポリプロピレン グルコース10% 1.5 µg/ml 28-32°C 光
48 時間
4069
エビデンスレベル C+

ポリプロピレン グルコース10% 15 µg/ml 28-32°C 光
48 時間
4069
エビデンスレベル C+

シリンジ ポリプロピレン グルコース10% 1,5 µg/ml 28-32°C 光
48 時間
3761
エビデンスレベル D

シリンジ ポリプロピレン グルコース10% 15 µg/ml 28-32°C 光
48 時間
3761
エビデンスレベル D

指定なし NaCl 0,9% 10 µg/ml 2-8°C 遮光
15 日
2151
エビデンスレベル B


  Mentions Légales