Ultimo aggiornamento :
27/11/2025
Vasodilatatore   Alprostadil  
Iniezione
Stabilità in soluzione Stabilità in miscela Fattori che influenzano la stabilità Compatibilità metodo di iniezione Bibliografia pdf
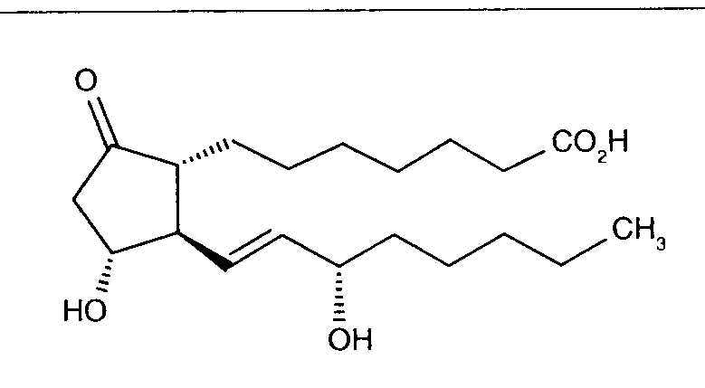
   Struttura chimica  

Nome commerciale   Nome commerciale     

Trade names are indicative and excipients composition can be different depending on the country and manufacturers

Alfaprostin Egitto
Alistint Messico, Perù
Alprostadil Arabia Saudita, Argentina, Australia, Canada, Chile, Ecuador, Germania, Malaysia, Perù, Romania, Spagna, Stati Uniti d’America, Turchia
Alprostapint Argentina, Austria, Colombia, Ecuador, Perù, Ungheria
Alprostar Italia
Aplicav
Cardiobonisol Polonia
Caverject Austria, Belgio, Brasile, Canada, Chile, Colombia, Danimarca, Emirati Arabi Uniti, Francia, Gran Bretagna, Italia, Norvegia, Polonia, Portogallo, Slovenia, Spagna, Stati Uniti d’America, Svezia, Svizzera, Turchia
Edex Francia, Grecia, Stati Uniti d’America, Tunisia
Liple Giappone
Minprog Austria, Germania
Ostapint Messico, Perù
Palux Giappone
Pridax Austria, Germania, Romania, Spagna
Prolisina VR Argentina
Prostandin Giappone
Prostavasin Austria, Egitto, Germania, Iran, Italia, Lussemburgo, Polonia, Ungheria
Prostin VR Arabia Saudita, Belgio, Canada, Colombia, Croazia, Danimarca, Finlandia, Gran Bretagna, Grecia, Iran, Italia, Lussemburgo, Malaysia, Norvegia, Paesi Bassi, Polonia, Portogallo, Stati Uniti d’America, Svizzera, Ungheria, Venezuela
Prostine VR Francia
Vasaprostan Romania
Stabilità in soluzione   Iniezione   Stabilità in soluzione : Alprostadil     
contenitore Solvente Concentrazione Temperatura Conservazione Durata della stabilità Bibliografia
Vetro Cloruro di sodio 0,9% 25 µg/ml 4°C Non precisata
82 Giorno
2003
Livello di evidenza B

Cloruro di polivinile Cloruro di sodio 0,9% 11 µg/ml 2-8°C Al riparo dalla luce
10 Giorno
3961
Livello di evidenza D

Polipropilene Glucosio 10% 1.5 µg/ml 28-32°C Luce
48 Ora
4069
Livello di evidenza C+

Polipropilene Glucosio 10% 15 µg/ml 28-32°C Luce
48 Ora
4069
Livello di evidenza C+

siringa polipropilene Glucosio 10% 1,5 µg/ml 28-32°C Luce
48 Ora
3761
Livello di evidenza D

siringa polipropilene Glucosio 10% 15 µg/ml 28-32°C Luce
48 Ora
3761
Livello di evidenza D

Non precisato Cloruro di sodio 0,9% 10 µg/ml 2-8°C Al riparo dalla luce
15 Giorno
2151
Livello di evidenza B


  Mentions Légales