Τελευταία ενημέρωση :
18/03/2026
Θρομβολυτικό   Alprostadil  
Ενέσιμο
Σταθερότητα διαλυμάτων Σταθερότητα σε μίγματα Παράγοντας που επηρεάζει τη σταθερότητα Συμβατότητες Τρόπος χορήγησης Βιβλιογραφία pdf
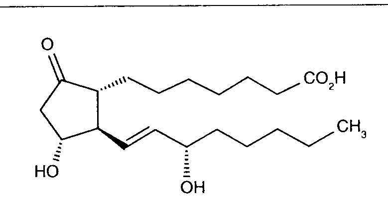
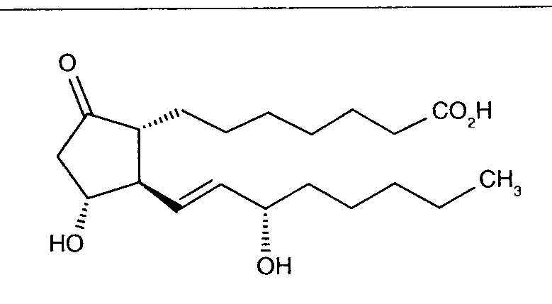
   χημική δομή  

Εμπορική ονομασία   Εμπορική ονομασία     

Οι εμπορικές ονομασίες είναι ενδεικτικές και η σύνθεση των εκδόχων μπορεί να διαφέρει ανάλογα με τη χώρα και τα εργαστήρια

Alfaprostin Αίγυπτος
Alistint Μεξικό, Περού
Alprostadil Αργεντινή, Αυστραλία, Γερμανία, Εκουαδόρ, Η.Π.Α., Ισπανία, Καναδάς, Μαλαισία, Περού, Ρουμανία, Σαουδική Αραβία, Τουρκία, Χιλή
Alprostapint Αργεντινή, Αυστρία, Εκουαδόρ, Κολομβία, Ουγγαρία, Περού
Alprostar Ιταλία
Aplicav
Cardiobonisol Πολωνία
Caverject Yhdistyneet arabiemiirikunnat, Αυστρία, Βέλγιο, Βραζιλία, Γαλλία, Δανία, Ελβετία, Η.Π.Α., Ισπανία, Ιταλία, Καναδάς, Κολομβία, Μεγάλη Βρετανία, Νορβηγία, Πολωνία, Πορτογαλία, Σλοβενία, Σουηδία, Τουρκία, Χιλή
Edex Γαλλία, Ελλάδα, Η.Π.Α., Τυνησία
Liple Ιαπωνία
Minprog Αυστρία, Γερμανία
Ostapint Μεξικό, Περού
Palux Ιαπωνία
Pridax Αυστρία, Γερμανία, Ισπανία, Ρουμανία
Prolisina VR Αργεντινή
Prostandin Ιαπωνία
Prostavasin Αίγυπτος, Αυστρία, Γερμανία, Ιράν, Ιταλία, Λουξεμβούργο, Ουγγαρία, Πολωνία
Prostin VR Βέλγιο, Βενεζουέλα, Δανία, Ελβετία, Ελλάδα, Η.Π.Α., Ιράν, Ιταλία, Καναδάς, Κολομβία, Κροατία, Λουξεμβούργο, Μαλαισία, Μεγάλη Βρετανία, Νορβηγία, Ολλανδία, Ουγγαρία, Πολωνία, Πορτογαλία, Σαουδική Αραβία, Φινλανδία
Prostine VR Γαλλία
Vasaprostan Ρουμανία
Σταθερότητα διαλυμάτων   Ενέσιμο   Σταθερότητα διαλυμάτων : Alprostadil     
Υποδοχέας Διαλυτικό Συγκέντρωση Θερμοκρασία Αποθήκευση Διάρκεια σταθερότητας Βιβλιογραφία
Ύαλος Χλωριούχο νάτριο 0,9% 25 µg/ml 4°C Απροσδιόριστο
82 Ημέρα
2003
Επίπεδο των αποδεικτικών στοιχείων B

Πολυβινυλοχλωρίδιο Χλωριούχο νάτριο 0,9% 11 µg/ml 2-8°C Προστατεύετε από το φως
10 Ημέρα
3961
Επίπεδο των αποδεικτικών στοιχείων D

Πολυπροπυλένιο Γλυκόζη 10% 1.5 µg/ml 28-32°C Φως
48 Ώρα
4069
Επίπεδο των αποδεικτικών στοιχείων C+

Πολυπροπυλένιο Γλυκόζη 10% 15 µg/ml 28-32°C Φως
48 Ώρα
4069
Επίπεδο των αποδεικτικών στοιχείων C+

σύριγγα πολυπροπυλένιο Γλυκόζη 10% 1,5 µg/ml 28-32°C Φως
48 Ώρα
3761
Επίπεδο των αποδεικτικών στοιχείων D

σύριγγα πολυπροπυλένιο Γλυκόζη 10% 15 µg/ml 28-32°C Φως
48 Ώρα
3761
Επίπεδο των αποδεικτικών στοιχείων D

Απροσδιόριστο Χλωριούχο νάτριο 0,9% 10 µg/ml 2-8°C Προστατεύετε από το φως
15 Ημέρα
2151
Επίπεδο των αποδεικτικών στοιχείων B


  Mentions Légales